Câu 56 trang 177 SGK Đại số và Giải tích 11 Nâng cao
Tổng quan nội dung
Giải Câu 56 Trang 177 SGK Đại Số và Giải Tích 11 Nâng Cao
Câu 56 trang 177 SGK Đại số và Giải tích 11 Nâng cao là một bài tập quan trọng trong chương trình học. Bài tập này yêu cầu học sinh vận dụng kiến thức về hàm số, đạo hàm để giải quyết các bài toán thực tế.
tusach.vn cung cấp lời giải chi tiết, dễ hiểu, giúp học sinh nắm vững kiến thức và kỹ năng giải bài tập.
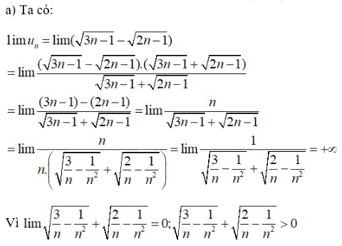
Tìm các giới hạn của các dãy số (u¬¬n) với :
LG a
\({u_n} = \sqrt {3n - 1} - \sqrt {2n - 1} \)
Phương pháp giải:
Nhân chia liên hợp
Lời giải chi tiết:
\(\eqalign{& \lim {u_n} = \lim \left( {\sqrt {3n - 1} - \sqrt {2n - 1} } \right) \cr & = \lim \frac{{\left( {\sqrt {3n - 1} - \sqrt {2n - 1} } \right)\left( {\sqrt {3n - 1} + \sqrt {2n - 1} } \right)}}{{\sqrt {3n - 1} + \sqrt {2n - 1} }}\cr &= \lim {{3n - 1 - \left( {2n - 1} \right)} \over {\sqrt {3n - 1} + \sqrt {2n - 1} }}\cr & = \lim {n \over {\sqrt n \left( {\sqrt {3 - {1 \over n}} + \sqrt {2 - {1 \over n}} } \right)}} \cr & = \lim {\sqrt n } .{{1} \over {\sqrt {3 - {1 \over n}} + \sqrt {2 - {1 \over n}} }} = + \infty \cr & \text{ vì }\,\lim \sqrt n = + \infty \cr &\text{ và }\,\lim {{1} \over {\sqrt {3 - {1 \over n}} + \sqrt {2 - {1 \over n}} }} \cr & = {{1} \over {\sqrt 3 + \sqrt 2}} > 0 \cr} \)
Cách khác:

LG b
\({u_n} = {{{4^n} - {5^n}} \over {{2^n} + {{3.5}^n}}}\)
Phương pháp giải:
Chia cả tử và mẫu của un cho 5n
Lời giải chi tiết:
Chia cả tử và mẫu của un cho 5n ta được :
\(\lim {u_n} = \lim \frac{{\frac{{{4^n}}}{{{5^n}}} - 1}}{{\frac{{{2^n}}}{{{5^n}}} + 3}}\) \(= \lim {{{{\left( {{4 \over 5}} \right)}^n} - 1} \over {{{\left( {{2 \over 5}} \right)}^n} + 3}} = - {1 \over 3}\)
Vì \(\lim {\left( {{2 \over 5}} \right)^n} = 0; \lim {\left( {{4 \over 5}} \right)^n} = 0\)
Giải Chi Tiết Câu 56 Trang 177 SGK Đại Số và Giải Tích 11 Nâng Cao
Câu 56 trang 177 SGK Đại số và Giải tích 11 Nâng cao thường liên quan đến việc xét tính đơn điệu của hàm số, tìm cực trị, hoặc giải phương trình, bất phương trình chứa đạo hàm. Để giải quyết bài toán này một cách hiệu quả, học sinh cần nắm vững các kiến thức cơ bản sau:
- Đạo hàm: Định nghĩa, các quy tắc tính đạo hàm của các hàm số cơ bản (đa thức, lượng giác, mũ, logarit).
- Tính đơn điệu của hàm số: Mối liên hệ giữa đạo hàm và tính đơn điệu. Hàm số đồng biến khi đạo hàm dương, nghịch biến khi đạo hàm âm.
- Cực trị của hàm số: Điều kiện cần và đủ để hàm số đạt cực trị.
Phân Tích Đề Bài và Lập Kế Hoạch Giải
Trước khi bắt tay vào giải, hãy đọc kỹ đề bài, xác định rõ yêu cầu của bài toán. Sau đó, lập kế hoạch giải cụ thể, bao gồm các bước thực hiện và các kiến thức cần sử dụng.
Lời Giải Chi Tiết (Ví dụ minh họa - đề bài cụ thể cần được cung cấp để giải chính xác)
Giả sử đề bài yêu cầu tìm cực trị của hàm số f(x) = x3 - 3x2 + 2.
- Tính đạo hàm: f'(x) = 3x2 - 6x
- Tìm điểm dừng: Giải phương trình f'(x) = 0, ta được x = 0 hoặc x = 2.
- Xét dấu đạo hàm:
- Khi x < 0: f'(x) > 0, hàm số đồng biến.
- Khi 0 < x < 2: f'(x) < 0, hàm số nghịch biến.
- Khi x > 2: f'(x) > 0, hàm số đồng biến.
- Kết luận: Hàm số đạt cực đại tại x = 0, giá trị cực đại là f(0) = 2. Hàm số đạt cực tiểu tại x = 2, giá trị cực tiểu là f(2) = -2.
Lưu Ý Quan Trọng
Khi giải các bài tập về hàm số, đạo hàm, cần chú ý các điểm sau:
- Kiểm tra kỹ điều kiện xác định của hàm số.
- Sử dụng đúng các quy tắc tính đạo hàm.
- Phân tích kỹ dấu của đạo hàm để xác định tính đơn điệu và cực trị của hàm số.
- Biết cách trình bày lời giải một cách rõ ràng, logic.
Bài Tập Tương Tự
Để củng cố kiến thức, bạn có thể làm thêm các bài tập tương tự trong SGK và sách bài tập. Ngoài ra, bạn có thể tìm kiếm các bài tập trực tuyến trên các trang web học tập uy tín.
Tusach.vn - Đồng Hành Cùng Bạn Trên Con Đường Học Tập
tusach.vn luôn đồng hành cùng bạn trên con đường chinh phục kiến thức. Chúng tôi cung cấp đầy đủ các tài liệu học tập, lời giải bài tập, và các bài giảng chất lượng cao. Hãy truy cập tusach.vn để học tập hiệu quả hơn!
| Chủ đề | Nội dung |
|---|---|
| Đạo hàm | Định nghĩa, quy tắc tính đạo hàm |
| Tính đơn điệu | Mối liên hệ giữa đạo hàm và tính đơn điệu |
| Cực trị | Điều kiện cần và đủ để hàm số đạt cực trị |
| Nguồn: tusach.vn | |