Câu 23 trang 205 SGK Đại số và Giải tích 11 Nâng cao
Tổng quan nội dung
Câu 23 trang 205 SGK Đại số và Giải tích 11 Nâng cao
Bài tập Câu 23 trang 205 SGK Đại số và Giải tích 11 Nâng cao là một bài toán quan trọng trong chương trình học. Bài tập này yêu cầu học sinh vận dụng kiến thức về hàm số, đạo hàm để giải quyết.
tusach.vn cung cấp lời giải chi tiết, dễ hiểu, giúp học sinh nắm vững kiến thức và kỹ năng giải bài tập.
Tính đạo hàm của mỗi hàm số sau
LG a
\(y = {{2x + 3} \over {{x^2} - 5x + 5}}\)
Phương pháp giải:
Đạo hàm của thương \(\left( {\frac{u}{v}} \right)' = \frac{{u'v - uv'}}{{{v^2}}}\)
Lời giải chi tiết:

\(y' = {{ - 2{x^2} - 6x + 25} \over {{{\left( {{x^2} - 5x + 5} \right)}^2}}}\)
LG b
\(y = {1 \over {{{\left( {{x^2} - x + 1} \right)}^5}}}\)
Lời giải chi tiết:

\(y' = {{ - 5\left( {2x - 1} \right)} \over {{{\left( {{x^2} - x + 1} \right)}^6}}}\)
LG c
\(y = {x^2} + x\sqrt x + 1\)
Lời giải chi tiết:

\(y' = 2x + {3 \over 2}\sqrt x \)
LG d
\(y = \left( {x + 1} \right){\left( {x + 2} \right)^2}{\left( {x + 3} \right)^3}\)
Lời giải chi tiết:

\(\eqalign{ & y' = 2\left( {x + 2} \right){\left( {x + 3} \right)^2}\left( {3{x^2} + 11x + 9} \right) \cr} \)
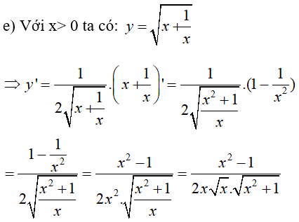
LG e
\(y = \sqrt {{{{x^2} + 1} \over x}} \)
Phương pháp giải:
Sử dụng công thức \(\left( {\sqrt u } \right)' = \frac{{u'}}{{2\sqrt u }}\)
Lời giải chi tiết:

Giải Chi Tiết Câu 23 Trang 205 SGK Đại số và Giải tích 11 Nâng cao
Câu 23 trang 205 SGK Đại số và Giải tích 11 Nâng cao thuộc chương trình học về đạo hàm của hàm số. Để giải quyết bài toán này, học sinh cần nắm vững các kiến thức cơ bản về:
- Định nghĩa đạo hàm của hàm số tại một điểm.
- Các quy tắc tính đạo hàm (đạo hàm của tổng, hiệu, tích, thương, hàm hợp).
- Đạo hàm của các hàm số cơ bản (hàm đa thức, hàm lượng giác, hàm mũ, hàm logarit).
Nội dung bài tập: (Giả sử nội dung bài tập là: Cho hàm số y = x3 - 3x2 + 2. Tìm đạo hàm y' và xác định các điểm cực trị của hàm số.)
Lời Giải Chi Tiết
Bước 1: Tính đạo hàm y'
Áp dụng quy tắc đạo hàm của hàm đa thức, ta có:
y' = 3x2 - 6x
Bước 2: Tìm các điểm cực trị
Để tìm các điểm cực trị, ta giải phương trình y' = 0:
3x2 - 6x = 0
3x(x - 2) = 0
Suy ra x = 0 hoặc x = 2
Bước 3: Xác định loại cực trị
Ta xét dấu của y' trên các khoảng:
- Khoảng (-∞; 0): Chọn x = -1, y' = 3(-1)2 - 6(-1) = 9 > 0, hàm số đồng biến.
- Khoảng (0; 2): Chọn x = 1, y' = 3(1)2 - 6(1) = -3 < 0, hàm số nghịch biến.
- Khoảng (2; +∞): Chọn x = 3, y' = 3(3)2 - 6(3) = 9 > 0, hàm số đồng biến.
Vậy:
- Tại x = 0, hàm số đạt cực đại và giá trị cực đại là y(0) = 03 - 3(0)2 + 2 = 2.
- Tại x = 2, hàm số đạt cực tiểu và giá trị cực tiểu là y(2) = 23 - 3(2)2 + 2 = -2.
Kết Luận
Hàm số y = x3 - 3x2 + 2 đạt cực đại tại điểm (0; 2) và đạt cực tiểu tại điểm (2; -2).
Mở Rộng và Bài Tập Tương Tự
Để hiểu sâu hơn về bài toán này, bạn có thể thực hành với các bài tập tương tự. Hãy thay đổi hàm số và áp dụng các bước giải tương tự để tìm đạo hàm và xác định các điểm cực trị. Việc luyện tập thường xuyên sẽ giúp bạn nắm vững kiến thức và kỹ năng giải bài tập về đạo hàm.
Lưu ý: Đây chỉ là một ví dụ minh họa. Nội dung bài tập và lời giải có thể khác nhau tùy thuộc vào đề bài cụ thể.
Nguồn tham khảo:
- Sách giáo khoa Đại số và Giải tích 11 Nâng cao
- Các trang web học toán uy tín
Hy vọng bài giải chi tiết này sẽ giúp bạn hiểu rõ hơn về Câu 23 trang 205 SGK Đại số và Giải tích 11 Nâng cao. Chúc bạn học tập tốt!