Câu 19 trang 226 SGK Đại số và Giải tích 11 Nâng cao
Tổng quan nội dung
Giải Bài Tập Đại Số và Giải Tích 11 Nâng Cao - Câu 19 Trang 226
Câu 19 trang 226 SGK Đại số và Giải tích 11 Nâng cao là một bài tập quan trọng trong chương trình học. Bài tập này thường yêu cầu học sinh vận dụng kiến thức về hàm số, đạo hàm để giải quyết các bài toán thực tế.
Tại tusach.vn, chúng tôi cung cấp lời giải chi tiết, dễ hiểu, giúp bạn nắm vững kiến thức và tự tin giải các bài tập tương tự.
Tính giới hạn của các hàm số sau :
LG a
\(\mathop {\lim }\limits_{x \to - 1} {{{x^2} + x + 10} \over {{x^3} + 6}}\)
Lời giải chi tiết:
\(\mathop {\lim }\limits_{x \to - 1} {{{x^2} + x + 10} \over {{x^3} + 6}} \) \(= {{1 + \left( { - 1} \right) + 10} \over { - 1 + 6}} = 2\)
LG b
\(\mathop {\lim }\limits_{x \to - 5} {{{x^2} + 11x + 30} \over {25 - {x^2}}}\)
Lời giải chi tiết:
\(\mathop {\lim }\limits_{x \to - 5} {{{x^2} + 11x + 30} \over {25 - {x^2}}} = \mathop {\lim }\limits_{x \to - 5} {{\left( {x + 5} \right)\left( {x + 6} \right)} \over {\left( {5 - x} \right)\left( {5 + x} \right)}} \) \(= \mathop {\lim }\limits_{x \to - 5} {{x + 6} \over {5 - x}} = {1 \over {10}}\)
LG c
\(\mathop {\lim }\limits_{x \to - \infty } {{{x^6} + 4{x^2} + x - 2} \over {{{\left( {{x^3} + 2} \right)}^2}}}\)
Lời giải chi tiết:
\(\mathop {\lim }\limits_{x \to - \infty } {{{x^6} + 4{x^2} + x - 2} \over {{{\left( {{x^3} + 2} \right)}^2}}} \) \( = \mathop {\lim }\limits_{x \to - \infty } \frac{{{x^6}\left( {1 + \frac{4}{{{x^4}}} + \frac{1}{{{x^5}}} - \frac{2}{{{x^6}}}} \right)}}{{{{\left[ {{x^3}\left( {1 + \frac{2}{{{x^3}}}} \right)} \right]}^2}}} \) \(= \mathop {\lim }\limits_{x \to - \infty } \frac{{{x^6}\left( {1 + \frac{4}{{{x^4}}} + \frac{1}{{{x^5}}} - \frac{2}{{{x^6}}}} \right)}}{{{x^6}{{\left( {1 + \frac{2}{{{x^3}}}} \right)}^2}}}\) \(= \mathop {\lim }\limits_{x \to - \infty } {{1 + {4 \over {{x^4}}} + {1 \over {{x^5}}} - {2 \over {{x^6}}}} \over {{{\left( {1 + {2 \over {{x^3}}}} \right)}^2}}} \) \( = \frac{{1 + 0 + 0 - 0}}{{{{\left( {1 + 0} \right)}^2}}}= 1\)
LG d
\(\mathop {\lim }\limits_{x \to + \infty } {{{x^2} + x - 40} \over {2{x^5} + 7{x^4} + 21}}\)
Lời giải chi tiết:
\(\mathop {\lim }\limits_{x \to + \infty } {{{x^2} + x - 40} \over {2{x^5} + 7{x^4} + 21}}\) \( = \mathop {\lim }\limits_{x \to + \infty } \frac{{{x^5}\left( {\frac{1}{{{x^3}}} + \frac{1}{{{x^4}}} - \frac{{40}}{{{x^5}}}} \right)}}{{{x^5}\left( {2 + \frac{7}{x} + \frac{{21}}{{{x^5}}}} \right)}}\) \( = \mathop {\lim }\limits_{x \to + \infty } {{{1 \over {{x^3}}} + {1 \over {{x^4}}} - {{40} \over {{x^5}}}} \over {2 + {7 \over x} + {{21} \over {{x^5}}}}} \) \( = \frac{{0 + 0 - 0}}{{2 + 0 + 0}} = 0\)
LG e
\(\mathop {\lim }\limits_{x \to - \infty } {{\sqrt {2{x^4} + 4{x^2} + 3} } \over {2x + 1}}\)
Lời giải chi tiết:

LG f
\(\mathop {\lim }\limits_{x \to + \infty } \left( {2x + 1} \right)\sqrt {{{x + 1} \over {2{x^3} + x}}} \)
Lời giải chi tiết:

LG g
\(\mathop {\lim }\limits_{x \to + \infty } \sqrt {9{x^2} + 11x - 100} \)
Lời giải chi tiết:

LG h
\(\mathop {\lim }\limits_{x \to + \infty } \left( {\sqrt {5{x^2} + 1} - x\sqrt 5 } \right)\)
Lời giải chi tiết:

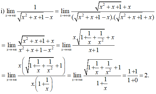
LG i
\(\mathop {\lim }\limits_{x \to + \infty } {1 \over {\sqrt {{x^2} + x + 1} - x}}\)
Lời giải chi tiết:

Giải Chi Tiết Câu 19 Trang 226 SGK Đại Số và Giải Tích 11 Nâng Cao
Câu 19 trang 226 SGK Đại số và Giải tích 11 Nâng cao thường liên quan đến việc xét tính đơn điệu của hàm số. Để giải quyết bài toán này, học sinh cần nắm vững các kiến thức về đạo hàm, điều kiện cần và đủ để hàm số đơn điệu, và các phương pháp xét dấu đạo hàm.
Nội Dung Bài Tập (Ví dụ - Cần thay thế bằng nội dung thực tế của câu 19):
Giả sử câu 19 yêu cầu xét tính đơn điệu của hàm số f(x) = x3 - 3x2 + 2.
Các Bước Giải Chi Tiết:
- Tính đạo hàm f'(x): f'(x) = 3x2 - 6x
- Tìm các điểm dừng (f'(x) = 0): 3x2 - 6x = 0 => x(3x - 6) = 0 => x = 0 hoặc x = 2
- Lập bảng xét dấu f'(x):
- Kết luận: Hàm số f(x) đồng biến trên các khoảng (-∞; 0) và (2; +∞), nghịch biến trên khoảng (0; 2).
| x | -∞ | 0 | 2 | +∞ |
|---|---|---|---|---|
| f'(x) | + | - | + | |
| f(x) | Đồng biến | Nghịch biến | Đồng biến |
Lưu Ý Quan Trọng:
- Luôn kiểm tra kỹ điều kiện xác định của hàm số trước khi tính đạo hàm.
- Khi xét dấu đạo hàm, cần xác định đúng dấu của đạo hàm trên từng khoảng.
- Nắm vững các định lý về tính đơn điệu của hàm số để áp dụng chính xác.
Bài Tập Tương Tự:
Để củng cố kiến thức, bạn có thể luyện tập thêm các bài tập tương tự sau:
- Xét tính đơn điệu của hàm số g(x) = x2 - 4x + 3
- Tìm khoảng đơn điệu của hàm số h(x) = -x3 + 3x2 - 2
Tại Sao Nên Chọn tusach.vn?
tusach.vn là địa chỉ tin cậy cho học sinh, sinh viên và giáo viên. Chúng tôi cung cấp:
- Lời giải chi tiết, chính xác, dễ hiểu.
- Đội ngũ giáo viên giàu kinh nghiệm.
- Cập nhật liên tục các bài tập mới.
- Giao diện thân thiện, dễ sử dụng.
Hãy truy cập tusach.vn ngay hôm nay để khám phá thêm nhiều tài liệu học tập hữu ích khác!