Câu 17 trang 204 SGK Đại số và Giải tích 11 Nâng cao
Tổng quan nội dung
Câu 17 trang 204 SGK Đại số và Giải tích 11 Nâng cao
Bài tập này thuộc chương trình Đại số và Giải tích 11 Nâng cao, tập trung vào việc rèn luyện kỹ năng giải các bài toán liên quan đến hàm số, đạo hàm và ứng dụng của đạo hàm. Việc nắm vững kiến thức nền tảng và phương pháp giải là rất quan trọng để đạt kết quả tốt trong các kỳ thi.
tusach.vn cung cấp lời giải chi tiết, dễ hiểu, giúp học sinh hiểu rõ bản chất của bài toán và tự tin giải các bài tập tương tự.
Tìm đạo hàm của mỗi hàm số sau (a và b là hằng số)
LG a
\(y = {x^5} - 4{x^3} + 2x - 3\sqrt x \)
Phương pháp giải:
Sử dụng công thức
+) \(\left( {{x^n}} \right)' = n{x^{n - 1}}\)
+) \(\left( {\sqrt x } \right)' = \dfrac{1}{{2\sqrt x }}\)
và các công thức đạo hàm của tổng, hiệu, tích một hàm số với một số thực.
Lời giải chi tiết:

LG b
\(y = {1 \over 4} - {1 \over 3}x + {x^2} - 0,5{x^4}\)
Lời giải chi tiết:

LG c
\(y = {{{x^4}} \over 4} - {{{x^3}} \over 3} + {{{x^2}} \over 2} - x + {a^3}\)
Lời giải chi tiết:

\(y' = {x^3} - {x^2} + x - 1\)
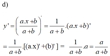
LG d
\(y = {{ax + b} \over {a + b}}\)
Lời giải chi tiết:

\(y = {a \over {a + b}}\)
Giải Chi Tiết Câu 17 Trang 204 SGK Đại số và Giải tích 11 Nâng cao
Câu 17 trang 204 SGK Đại số và Giải tích 11 Nâng cao thường xoay quanh các chủ đề về đạo hàm của hàm số, ứng dụng của đạo hàm để khảo sát hàm số, tìm cực trị, và giải các bài toán tối ưu. Để giải quyết bài toán này một cách hiệu quả, chúng ta cần nắm vững các kiến thức sau:
- Định nghĩa đạo hàm: Hiểu rõ đạo hàm của một hàm số tại một điểm là gì và cách tính đạo hàm.
- Các quy tắc tính đạo hàm: Nắm vững các quy tắc tính đạo hàm của tổng, hiệu, tích, thương, hàm hợp, và các hàm số lượng giác, mũ, logarit.
- Ứng dụng của đạo hàm: Biết cách sử dụng đạo hàm để tìm cực trị của hàm số, khảo sát sự biến thiên của hàm số, và giải các bài toán liên quan đến tối ưu.
Phân tích bài toán cụ thể (Ví dụ minh họa - Bài toán có thể thay đổi tùy theo SGK):
Giả sử câu 17 yêu cầu tìm cực trị của hàm số f(x) = x3 - 3x2 + 2. Chúng ta sẽ thực hiện các bước sau:
- Tính đạo hàm bậc nhất f'(x): f'(x) = 3x2 - 6x
- Tìm các điểm dừng: Giải phương trình f'(x) = 0 để tìm các điểm x mà tại đó đạo hàm bằng 0. Trong trường hợp này, 3x2 - 6x = 0 => x = 0 hoặc x = 2.
- Tính đạo hàm bậc hai f''(x): f''(x) = 6x - 6
- Xác định loại cực trị:
- Tại x = 0: f''(0) = -6 < 0 => Hàm số đạt cực đại tại x = 0. Giá trị cực đại là f(0) = 2.
- Tại x = 2: f''(2) = 6 > 0 => Hàm số đạt cực tiểu tại x = 2. Giá trị cực tiểu là f(2) = -2.
Các dạng bài tập thường gặp:
Ngoài việc tìm cực trị, Câu 17 trang 204 có thể yêu cầu:
- Khảo sát hàm số: Xác định khoảng đồng biến, nghịch biến, cực trị, điểm uốn, và tiệm cận của hàm số.
- Giải các bài toán tối ưu: Tìm giá trị lớn nhất, giá trị nhỏ nhất của hàm số trên một khoảng cho trước.
- Ứng dụng đạo hàm để giải các bài toán thực tế: Ví dụ, tìm kích thước của một hình hộp chữ nhật để có thể tích lớn nhất với một diện tích bề mặt cho trước.
Mẹo giải bài tập:
- Luôn kiểm tra điều kiện xác định của hàm số.
- Sử dụng các quy tắc tính đạo hàm một cách chính xác.
- Vẽ đồ thị hàm số để kiểm tra kết quả.
- Luyện tập thường xuyên để nắm vững các kỹ năng giải bài tập.
Tài liệu tham khảo:
Ngoài SGK, bạn có thể tham khảo thêm các tài liệu sau:
- Sách bài tập Đại số và Giải tích 11 Nâng cao.
- Các trang web học toán trực tuyến như tusach.vn.
- Các video hướng dẫn giải bài tập trên YouTube.
tusach.vn hy vọng với lời giải chi tiết và những hướng dẫn trên, bạn sẽ tự tin giải quyết Câu 17 trang 204 SGK Đại số và Giải tích 11 Nâng cao và các bài tập tương tự. Chúc bạn học tốt!