Giải bài tập 1.21 trang 32 SGK Toán 12 tập 1 - Kết nối tri thức
Tổng quan nội dung
Giải Bài Tập 1.21 Trang 32 Toán 12 Tập 1 - Kết Nối Tri Thức
Chào mừng các em học sinh đến với lời giải chi tiết bài tập 1.21 trang 32 SGK Toán 12 tập 1 chương trình Kết nối tri thức. Bài viết này sẽ cung cấp phương pháp giải bài tập một cách dễ hiểu, giúp các em nắm vững kiến thức và tự tin hơn trong quá trình học tập.
Tusach.vn luôn đồng hành cùng các em trên con đường chinh phục môn Toán.
Khảo sát sự biến thiên và vẽ đồ thị của các hàm số sau: a) (y = - {x^3} + 3x + 1); b) (y = {x^3} + 3{x^2} - x - 1).
Đề bài
Khảo sát sự biến thiên và vẽ đồ thị của các hàm số sau:a) \(y = - {x^3} + 3x + 1\);b) \(y = {x^3} + 3{x^2} - x - 1\).
Phương pháp giải - Xem chi tiết
Sử dụng kiến thức về sơ đồ khảo sát hàm số bậc ba để khảo sát và vẽ đồ thị hàm số:
Sơ đồ khảo sát hàm số bậc ba
1. Tìm tập xác định của hàm số.
2. Khảo sát sự biến thiên của hàm số:
+ Tính đạo hàm y’. Tìm các điểm tại đó y’ bằng 0 hoặc đạo hàm không tồn tại.
+ Xét dấu y’ để chỉ ra các khoảng đơn điệu của hàm số.
+ Tìm cực trị của hàm số.
+ Tìm các giới hạn tại vô cực, giới hạn vô cực.
+ Lập bảng biến thiên của hàm số.
3. Vẽ đồ thị của hàm số dựa vào bảng biến thiên.
Lời giải chi tiết
a) Tập xác định: \(D = \mathbb{R}\)
2. Sự biến thiên:
Ta có: \(y' = - 3{x^2} + 3,y' = 0 \Leftrightarrow x = \pm 1\)
Trên khoảng \(\left( { - 1;1} \right)\), \(y' > 0\) nên hàm số đồng biến. Trên khoảng \(\left( { - \infty ; - 1} \right)\) và \(\left( {1; + \infty } \right)\), \(y' < 0\) nên hàm số nghịch biến trên mỗi khoảng đó.
Hàm số đạt cực đại tại \(x = 1\), giá trị cực đại \({y_{CĐ}}=3\) . Hàm số đạt cực tiểu tại \(x = - 1\), giá trị cực tiểu \({y_{CT}} = - 1\)
Giới hạn tại vô cực: \(\mathop {\lim }\limits_{x \to - \infty } y = \mathop {\lim }\limits_{x \to - \infty } \left( { - {x^3} + 3x + 1} \right) = \mathop {\lim }\limits_{x \to - \infty } \left[ {{x^3}\left( { - 1 + \frac{3}{{{x^2}}} + \frac{1}{{{x^3}}}} \right)} \right] = + \infty \)
\(\mathop {\lim }\limits_{x \to + \infty } y = \mathop {\lim }\limits_{x \to + \infty } \left( { - {x^3} + 3x + 1} \right) = \mathop {\lim }\limits_{x \to + \infty } \left[ {{x^3}\left( { - 1 + \frac{3}{{{x^2}}} + \frac{1}{{{x^3}}}} \right)} \right] = - \infty \)
Bảng biến thiên:

3. Đồ thị:

Giao điểm của đồ thị hàm số \(y = - {x^3} + 3x + 1\) với trục tung là (0; 1).
Các điểm (1; 3); \(\left( { - 1; - 1} \right)\) thuộc đồ thị hàm số \(y = - {x^3} + 3x + 1\).
Đồ thị hàm số có tâm đối xứng là điểm (0; 1).
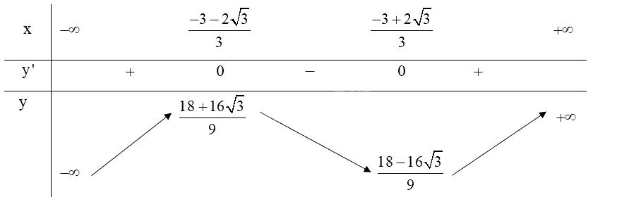
b) 1. Tập xác định: \(D = \mathbb{R}\)
2. Sự biến thiên:
Ta có: \(y' = 3{x^2} + 6x - 1,y' = 0 \Leftrightarrow x = \frac{{ - 3 - 2\sqrt 3 }}{3}\) hoặc \(x = \frac{{ - 3 + 2\sqrt 3 }}{3}\)
Trên khoảng \(\left( {\frac{{ - 3 - 2\sqrt 3 }}{3};\frac{{ - 3 + 2\sqrt 3 }}{3}} \right)\), \(y' < 0\) nên hàm số nghịch biến. Trên khoảng \(\left( { - \infty ;\frac{{ - 3 - 2\sqrt 3 }}{3}} \right)\) và \(\left( {\frac{{ - 3 + 2\sqrt 3 }}{3}; + \infty } \right)\), \(y' > 0\) nên hàm số đồng biến trên mỗi khoảng đó.
Hàm số đạt cực đại tại \(x = \frac{{ - 3 - 2\sqrt 3 }}{3}\), giá trị cực đại . Hàm số đạt cực tiểu tại \(x = \frac{{ - 3 + 2\sqrt 3 }}{3}\), giá trị cực tiểu \({y_{CT}} = \frac{{18 - 16\sqrt 3 }}{9}\).
Giới hạn tại vô cực: \(\mathop {\lim }\limits_{x \to - \infty } y = \mathop {\lim }\limits_{x \to - \infty } \left( {{x^3} + 3{x^2} - x - 1} \right) = \mathop {\lim }\limits_{x \to - \infty } \left[ {{x^3}\left( {1 + \frac{3}{x} - \frac{1}{{{x^2}}} - \frac{1}{{{x^3}}}} \right)} \right] = - \infty \)
\(\mathop {\lim }\limits_{x \to + \infty } y = \mathop {\lim }\limits_{x \to + \infty } \left( {{x^3} + 3{x^2} - x - 1} \right) = \mathop {\lim }\limits_{x \to + \infty } \left[ {{x^3}\left( {1 + \frac{3}{x} - \frac{1}{{{x^2}}} - \frac{1}{{{x^3}}}} \right)} \right] = + \infty \)
Bảng biến thiên:

3. Đồ thị:

Giao điểm của đồ thị hàm số \(y = {x^3} + 3{x^2} - x - 1\) với trục tung là (0; -1).
Các điểm (-1; 2); \(\left( {1;2} \right)\) thuộc đồ thị hàm số \(y = {x^3} + 3{x^2} - x - 1\).
Đồ thị hàm số có tâm đối xứng là điểm (-1; 2).
Giải Bài Tập 1.21 Trang 32 Toán 12 Tập 1 - Kết Nối Tri Thức: Hướng Dẫn Chi Tiết
Bài tập 1.21 trang 32 SGK Toán 12 tập 1 Kết nối tri thức yêu cầu chúng ta vận dụng kiến thức về đạo hàm của hàm số để giải quyết. Cụ thể, bài toán thường liên quan đến việc tìm đạo hàm của hàm số tại một điểm, hoặc tìm điều kiện để hàm số có đạo hàm tại một điểm. Dưới đây là lời giải chi tiết và phân tích từng bước để các em hiểu rõ hơn:
Nội dung bài tập 1.21 trang 32 SGK Toán 12 Tập 1 - Kết Nối Tri Thức
Thông thường, bài tập 1.21 sẽ có dạng như sau (ví dụ):
- Cho hàm số f(x) = ... Tìm f'(x).
- Cho hàm số f(x) = ... Tìm f'(a) với a = ...
- Tìm điều kiện của m để hàm số f(x) = ... có đạo hàm tại x = ...
Lời giải chi tiết bài tập 1.21 trang 32 SGK Toán 12 Tập 1 - Kết Nối Tri Thức
Để giải bài tập này, chúng ta cần nắm vững các công thức đạo hàm cơ bản sau:
- Đạo hàm của hàm số lũy thừa: (xn)' = nxn-1
- Đạo hàm của hàm số lượng giác: (sin x)' = cos x, (cos x)' = -sin x
- Đạo hàm của hàm số mũ và logarit: (ex)' = ex, (ln x)' = 1/x
- Các quy tắc đạo hàm: (u + v)' = u' + v', (u - v)' = u' - v', (u.v)' = u'v + uv', (u/v)' = (u'v - uv')/v2
Ví dụ minh họa:
Giả sử bài tập 1.21 yêu cầu tìm đạo hàm của hàm số f(x) = x2 + 2x + 1.
Lời giải:
Áp dụng quy tắc đạo hàm của tổng và đạo hàm của hàm số lũy thừa, ta có:
f'(x) = (x2)' + (2x)' + (1)' = 2x + 2 + 0 = 2x + 2
Các dạng bài tập tương tự và phương pháp giải
Ngoài bài tập 1.21, các em có thể gặp các bài tập tương tự như:
- Tìm đạo hàm của hàm số hợp: Sử dụng quy tắc đạo hàm của hàm hợp.
- Tìm đạo hàm cấp hai: Đạo hàm của đạo hàm cấp nhất.
- Ứng dụng đạo hàm để giải các bài toán liên quan đến cực trị của hàm số.
Để giải các bài tập này, các em cần luyện tập thường xuyên và nắm vững các công thức đạo hàm cơ bản. Ngoài ra, việc phân tích kỹ đề bài và xác định đúng phương pháp giải cũng rất quan trọng.
Lưu ý khi giải bài tập về đạo hàm
- Kiểm tra kỹ điều kiện xác định của hàm số.
- Sử dụng đúng các công thức đạo hàm.
- Rút gọn biểu thức đạo hàm một cách cẩn thận.
- Kiểm tra lại kết quả để đảm bảo tính chính xác.
Tusach.vn hy vọng với lời giải chi tiết và hướng dẫn trên, các em sẽ tự tin hơn khi giải bài tập 1.21 trang 32 SGK Toán 12 tập 1 Kết nối tri thức và các bài tập tương tự. Chúc các em học tốt!
Nếu có bất kỳ thắc mắc nào, đừng ngần ngại liên hệ với chúng tôi để được hỗ trợ.