Giải bài 1.18 trang 15 sách bài tập toán 12 - Kết nối tri thức
Tổng quan nội dung
Giải bài 1.18 trang 15 SBT Toán 12 - Kết nối tri thức
Chào mừng các em học sinh đến với lời giải chi tiết bài 1.18 trang 15 sách bài tập Toán 12 Kết nối tri thức. Bài viết này sẽ cung cấp đáp án chính xác và phương pháp giải bài tập một cách dễ hiểu nhất.
Tusach.vn luôn đồng hành cùng các em trong quá trình học tập, giúp các em nắm vững kiến thức và đạt kết quả tốt nhất.
Hai nguồn nhiệt đặt cách nhau \(s\) mét, một nguồn có cường độ \(a\) đặt ở điểm A và một nguồn có cường độ \(b\) đặt ở điểm B. Cường độ nhiệt tại điểm P nằm trên đoạn thẳng nối A và B được tính theo công thức \(I = \frac{a}{{{x^2}}} + \frac{b}{{{{\left( {s - x} \right)}^2}}},\) Trong đó \(x\) (m) là khoảng cách giữa P và A. Tại điểm nào giữa A và B, nhiệt độ sẽ thấp nhất?
Đề bài
Hai nguồn nhiệt đặt cách nhau \(s\) mét, một nguồn có cường độ \(a\) đặt ở điểm A và một nguồn có cường độ \(b\) đặt ở điểm B. Cường độ nhiệt tại điểm P nằm trên đoạn thẳng nối A và B được tính theo công thức
\(I = \frac{a}{{{x^2}}} + \frac{b}{{{{\left( {s - x} \right)}^2}}},\)
Trong đó \(x\) (m) là khoảng cách giữa P và A. Tại điểm nào giữa A và B, nhiệt độ sẽ thấp nhất?
Phương pháp giải - Xem chi tiết
Xét hàm số \(I = \frac{a}{{{x^2}}} + \frac{b}{{{{\left( {s - x} \right)}^2}}},{\rm{ }}0 \le x \le s\). Yêu cầu bài toán tương đương tìm \(x\) để hàm số đạt giá trị nhỏ nhất. Tính đạo hàm, lập bảng biến thiên của hàm số và đưa ra kết luận.
Lời giải chi tiết
Xét hàm số \(I = \frac{a}{{{x^2}}} + \frac{b}{{{{\left( {s - x} \right)}^2}}},{\rm{ }}0 \le x \le s\). Ta cần tìm \(x\) để hàm số đạt giá trị nhỏ nhất.
Ta có: \(I' = - \frac{{2a}}{{{x^3}}} + \frac{{2b}}{{{{\left( {s - x} \right)}^3}}} = \frac{{2\left[ {b{x^3} - a{{\left( {s - x} \right)}^3}} \right]}}{{{x^3}{{\left( {s - x} \right)}^3}}},{\rm{ }}0 \le x \le s\)
Khi đó \(I' = 0 \Leftrightarrow \frac{{2\left[ {b{x^3} - a{{\left( {s - x} \right)}^3}} \right]}}{{{x^3}{{\left( {s - x} \right)}^3}}} = 0 \Leftrightarrow 2\left[ {b{x^3} - a{{\left( {s - x} \right)}^3}} \right] = 0 \Leftrightarrow \frac{x}{{s - x}} = \frac{{\sqrt[3]{a}}}{{\sqrt[3]{b}}} \Leftrightarrow x = \frac{{s\sqrt[3]{a}}}{{\sqrt[3]{a} + \sqrt[3]{b}}}\).
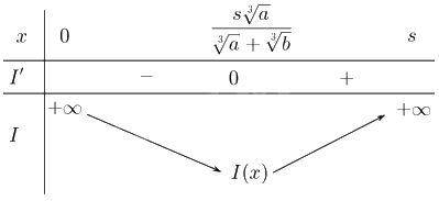
Lập bảng biến thiên của hàm số:

Từ bảng biến thiên suy ra hàm số đạt giá trị nhỏ nhất tại \(x = \frac{{s\sqrt[3]{a}}}{{\sqrt[3]{a} + \sqrt[3]{b}}}\).
Vậy tại điểm P trên đoạn AB các A một khoảng \(PA = x = \frac{{s\sqrt[3]{a}}}{{\sqrt[3]{a} + \sqrt[3]{b}}}\)(m) thì nhiệt độ thấp nhất.
Giải bài 1.18 trang 15 SBT Toán 12 - Kết nối tri thức: Tổng quan
Bài 1.18 trang 15 sách bài tập Toán 12 Kết nối tri thức thuộc chương 1: Hàm số và đồ thị. Bài tập này thường yêu cầu học sinh vận dụng kiến thức về hàm số, tập xác định, tập giá trị, tính đơn điệu và cực trị của hàm số để giải quyết các bài toán cụ thể. Việc nắm vững các khái niệm và phương pháp giải là vô cùng quan trọng để đạt điểm cao trong các kỳ thi.
Nội dung bài tập 1.18
Bài 1.18 thường bao gồm các dạng bài tập sau:
- Xác định tập xác định của hàm số.
- Tìm tập giá trị của hàm số.
- Xét tính đơn điệu của hàm số.
- Tìm cực trị của hàm số.
- Vẽ đồ thị hàm số.
- Ứng dụng hàm số vào giải quyết các bài toán thực tế.
Lời giải chi tiết bài 1.18 trang 15 SBT Toán 12 - Kết nối tri thức
Để giải bài 1.18 trang 15 SBT Toán 12 Kết nối tri thức, chúng ta cần thực hiện các bước sau:
- Bước 1: Đọc kỹ đề bài và xác định yêu cầu của bài toán.
- Bước 2: Xác định hàm số cần xét.
- Bước 3: Áp dụng các kiến thức và công thức liên quan để giải quyết bài toán.
- Bước 4: Kiểm tra lại kết quả và đảm bảo tính chính xác.
Ví dụ: (Giả sử bài 1.18 yêu cầu tìm tập xác định của hàm số y = √(x-2)/(x+1))
Lời giải:
Hàm số y = √(x-2)/(x+1) xác định khi và chỉ khi:
- x - 2 ≥ 0 => x ≥ 2
- x + 1 ≠ 0 => x ≠ -1
Vậy tập xác định của hàm số là D = [2; +∞)
Mẹo giải bài tập Toán 12 hiệu quả
Để giải bài tập Toán 12 hiệu quả, các em có thể tham khảo một số mẹo sau:
- Nắm vững các định nghĩa, định lý và công thức liên quan.
- Luyện tập thường xuyên để làm quen với các dạng bài tập khác nhau.
- Sử dụng các công cụ hỗ trợ như máy tính bỏ túi, phần mềm vẽ đồ thị.
- Tham khảo các bài giải mẫu và học hỏi kinh nghiệm từ các bạn học giỏi.
- Tìm kiếm sự giúp đỡ từ giáo viên hoặc bạn bè khi gặp khó khăn.
Tusach.vn - Nguồn tài liệu học tập Toán 12 uy tín
Tusach.vn là một website cung cấp đầy đủ các tài liệu học tập Toán 12, bao gồm sách giáo khoa, sách bài tập, đề thi, bài giải và các tài liệu tham khảo khác. Chúng tôi cam kết cung cấp cho các em những tài liệu chất lượng, chính xác và cập nhật nhất. Hãy truy cập tusach.vn để khám phá thêm nhiều tài liệu hữu ích khác!
Kết luận
Hy vọng bài viết này đã giúp các em hiểu rõ hơn về cách giải bài 1.18 trang 15 SBT Toán 12 Kết nối tri thức. Chúc các em học tập tốt và đạt kết quả cao!