Đề cương ôn tập học kì 2 Toán 11 - Cánh diều
Tổng quan nội dung
Đề cương ôn tập học kì 2 Toán 11 - Cánh Diều: Hướng dẫn ôn thi hiệu quả
Tusach.vn xin giới thiệu Đề cương ôn tập học kì 2 Toán 11 - Cánh Diều, tài liệu không thể thiếu cho học sinh trong quá trình chuẩn bị cho kỳ thi cuối học kì. Đề cương bao gồm các dạng bài tập trọng tâm, có đáp án chi tiết và hướng dẫn giải dễ hiểu.
Tài liệu này được biên soạn dựa trên chương trình học Toán 11 - Cánh Diều, giúp học sinh nắm vững kiến thức và rèn luyện kỹ năng giải đề.
A. NỘI DUNG ÔN TẬP 1. Một số yếu tố thống kê và xác suất - Các số đặc trưng đo xu thế trung tâm cho mẫu số liệu ghép nhóm - Biến cố hợp và biến cố giao. Biến cố độc lập. Các quy tắc tính xác suất 2. Hàm số mũ và hàm số logarit - Phép tính lũy thừa với số mũ thực - Phép tính logarit - Hàm số mũ và hàm số logarit - Phương trình, bất phương trình mũ và logarit
A. NỘI DUNG ÔN TẬP
1. Một số yếu tố thống kê và xác suất
- Các số đặc trưng đo xu thế trung tâm cho mẫu số liệu ghép nhóm
- Biến cố hợp và biến cố giao. Biến cố độc lập. Các quy tắc tính xác suất
2. Hàm số mũ và hàm số logarit
- Phép tính lũy thừa với số mũ thực
- Phép tính logarit
- Hàm số mũ và hàm số logarit
- Phương trình, bất phương trình mũ và logarit
3. Đạo hàm
- Định nghĩa đạo hàm. Ý nghĩa hình học của đạo hàm
- Các quy tắc tính đạo hàm
- Đạo hàm cấp hai
4. Quan hệ vuông góc trong không gian
- Hai đường thẳng vuông góc
- Đường thẳng vuông góc với mặt phẳng
- Góc giữa đường thẳng và mặt phẳng. Góc nhị diện
- Hai mặt phẳng vuông góc
- Khoảng cách
- Hình lăng trụ đứng. Hình chóp đều. Thể tích của một số hình khối
B. BÀI TẬP
Đề bài
I. Phần trắc nghiệm
1. Một số yếu tố thống kê và xác suất
Câu 1. Thời gian chạy 100m của 20 học sinh được ghi lại trong bảng dưới đây:

A. \(17,015s\)
B. \(17,015m\)
C. \(17,1m\)
D. \(17,1s\)
Câu 2. Có 100 học sinh tham dự kì thi học sinh giỏi Toán (thang điểm 20). Kết quả sau kì thi được thống kê như sau:

Tìm số điểm trung bình của 100 học sinh tham dự kì thi.
A. \(15,22\)
B. \(15,23\)
C. \(15,24\)
D. \(15,25\)
Câu 3. Cho bảng số liệu thống kê điểm kiểm tra giữa học kỳ I môn Toán của 40 học sinh như sau:

Số trung vị Me và mốt Mo của bảng số liệu trên lần lượt là:
A. \({M_e} = 8,{M_0} = 40\)
B. \({M_e} = 6,{M_0} = 18\)
C. \({M_e} = 6,{M_0} = 6\)
D. \({M_e} = 7,{M_0} = 6\)
Câu 4. Cho \(A,B\) là hai biến cố xung khắc. Đẳng thức nào sau đây đúng?
A.\(P\left( {A \cup B} \right) = P\left( A \right) + P\left( B \right)\)
B. \(P\left( {A \cup B} \right) = P\left( A \right) \cdot P\left( B \right)\)
C. \(P\left( {A \cup B} \right) = P\left( A \right) - P\left( B \right)\)
D. \(P\left( {A \cap B} \right) = P\left( A \right) + P\left( B \right)\)
Câu 5. \(A,B\) là hai biến cố độc lập. \(P\left( A \right) = 0,5.P\left( {A \cap B} \right) = 0,2\). Xác suất \(P\left( {A \cup B} \right)\) bằng:
A.0,3
B. 0,5
C. 0,6
D. 0,7
Câu 6. Gieo một con xúc sắc 4 lần. Tìm xác suất của biến cố \(A\) : “ Mặt 3 chấm xuất hiện đúng một lần".
A.\(P\left( A \right) = \frac{5}{{24}}\)
B. \(P\left( A \right) = \frac{5}{{32}}\)
C. \(P\left( A \right) = \frac{5}{{324}}\)
D. \(P\left( A \right) = \frac{5}{{34}}\)
Câu 7. Một bài trắc nghiệm có 10 câu hỏi, mỗi câu hỏi có 4 phương án lựa chọn trong đó có 1 đáp án đúng. Giả sử mỗi câu trả lời đúng được 5 điểm và mỗi câu trả lời sai bị trừ đi 2 điểm. Một học sinh không học bài nên khoanh lụi một câu trả lời. Tìm xác suất để học sinh này nhận điểm dưới 1.
A.\(P\left( A \right) = 0,7124\)
B. \(P\left( A \right) = 0,7759\)
C. \(P\left( A \right) = 0,7336\)
D. \(P\left( A \right) = 0,783\)
Câu 8. Một người gọi điện thoại nhưng quên mất chữ số cuối. Tính xác suất để người đó gọi đúng số điện thoại mà không phải thử quá hai lần.
A.\(\frac{1}{5}\)
B. \(\frac{1}{{10}}\)
C. \(\frac{{19}}{{90}}\)
D. \(\frac{2}{9}\)
2. Hàm số mũ và hàm số logarit
Câu 9. Tìm tập xác định \({\rm{D}}\) của hàm số \(y = {\log _2}\left( {{x^2} - 2x - 3} \right)\)
A. \({\rm{D}} = \left( { - \infty ; - 1} \right] \cup \left[ {3; + \infty } \right)\)
B. \({\rm{D}} = \left[ { - 1;3} \right]\)
C. \({\rm{D}} = \left( { - \infty ; - 1} \right) \cup \left( {3; + \infty } \right)\)
D. \({\rm{D}} = \left( { - 1;3} \right)\)
Câu 10. Tìm tất cả các giá trị thực của tham số \(m\) để hàm số \(y = \ln \left( {{x^2} - 2mx + m} \right)\) có tập xác định là \(\mathbb{R}\).
A. \(m < 0\)
B. \(0 < m < 1\)
C. \(m \le 0\); \(m \ge 1\)
D. \(0 \le m \le 1\)
Câu 11. Hàm số nào sau đây đồng biến trên \(\mathbb{R}\)?
A. \(y = {\left( {\frac{3}{\pi }} \right)^x}\)
B. \(y = {\left( {\frac{{\sqrt 2 + \sqrt 3 }}{3}} \right)^x}\)
C. \(y = {\left( {\frac{{\sqrt 3 }}{2}} \right)^x}\)
D. \(y = {\left( {\frac{\pi }{{\sqrt 2 + \sqrt 3 }}} \right)^x}\)
Câu 12. Cho \(a\) là một số thực dương khác \(1\) và các mệnh đề sau:
1) \({a^x} > 0\) với mọi \(x \in \mathbb{R}\).
2) Hàm số \(y = {a^x}\) đồng biến trên \(\mathbb{R}\).
3) Hàm số \(y = {e^{2017x}}\) là hàm số đồng biến trên \(\mathbb{R}\).
4) Đồ thị hàm số \(y = {a^x}\) nhận trục \(Ox\) làm tiệm cận ngang.
Hỏi có bao nhiêu mệnh đề đúng?
A. \(1\)
B. \(2\)
C. \(3\)
D. \(4\)
Câu 13. Cho \(a\) là số thực tùy ý và \(b,{\rm{ }}c\) là các số thực dương khác \(1\). Hình vẽ bên là đồ thị của ba hàm số \(G\), \(A\left( {1; - 1; - 2} \right)\) và \(y = {x^a},{\rm{ }}x > 0\). Khẳng định nào sau đây là đúng?

A. \(a < c < b.\)
B. \(a < b < c.\)
C. \(\left( {\frac{4}{3}; - \frac{2}{3}; - \frac{8}{3}} \right)\)
D. \(a > c > b.\)
Câu 14. Cho \({9^x} + {9^{ - x}} = 23\). Tính giá trị biểu thức\(P = \frac{{5 + {3^x} + {3^{ - x}}}}{{1 - {3^x} - {3^{ - x}}}}.\)
A. \(P = 2.\)
B. \(P = \frac{3}{2}.\)
C. \(P = \frac{1}{2}.\)
D. \(P = - \frac{5}{2}.\)
Câu 15. Phương trình \({\left( {5 + 2\sqrt 6 } \right)^{3x + 1}} = {\left( {5 - 2\sqrt 6 } \right)^{5x + 8}}\)có tích các nghiệm là?
A. \( - \frac{7}{8}\)
B. 4
C. \( - \frac{9}{8}\)
D. \(\frac{1}{8}\)
Câu 16. Giải phương trình \({2^{x - 3}} = {3^{{x^2} - 5x + 6}}\)
A. \(S = \left\{ {2 + {{\log }_3}2;3} \right\}\)
B. \(S = \left\{ {{{\log }_3}2;3} \right\}\)
C. \(S = \left\{ {2 + {{\log }_3}2} \right\}\)
D. \(S = \left\{ {2 + {{\log }_3}2;1} \right\}\)
Câu 17. Tập nghiệm của bất phương trình \({2^{2x}} < {2^{x + 6}}\)
A. \(\left( { - \infty ;6} \right)\)
B. \(\left( {0;64} \right)\)
C. \(\left( {6; + \infty } \right)\)
D. \(\left( {0;6} \right)\)
Câu 18. Giải bất phương trình \({\log _2}\left( {3x - 2} \right) > {\log _2}\left( {6 - 5x} \right)\) được tập nghiệm là (a;b). Hãy tính tổng S=a+b.
A. \(S = \frac{{26}}{5}\)
B. \(S = \frac{{11}}{5}\)
C. \(S = \frac{{28}}{{15}}\)
D. \(S = \frac{8}{3}\)
3. Đạo hàm
Câu 19. Cho hàm số \(f\left( x \right) = \left\{ {\begin{array}{*{20}{l}}{\frac{{3 - \sqrt {4 - x} }}{4}}&{{\rm{khi}}\;\;x \ne 0}\\{\frac{1}{4}}&{{\rm{khi}}\;\;x = 0}\end{array}} \right..\) Tính \(f'\left( 0 \right).\)
A.\(f'\left( 0 \right) = \frac{1}{4}.\)
B. \(f'\left( 0 \right) = \frac{1}{{16}}.\)
C. \(f'\left( 0 \right) = \frac{1}{{32}}.\)
D. Không tồn tại.
Câu 20. Một viên đạn được bắn lên cao theo phương trình \(s\left( t \right) = 196t - 4,9{t^2}\) trong đó \(t > 0,\) \(t\) tính bằng giây kể từ thời điểm viên đạn được bắn lên cao và \(s\left( t \right)\) là khoảng cách của viên đạn so với mặt đất được tính bằng mét. Tại thời điểm vận tốc của viên đạn bằng \(0\) thì viên đạn cách mặt đất bao nhiêu mét?
A.\(1690{\rm{m}}.\)
B. \(1069{\rm{m}}.\)
C. \(1906{\rm{m}}.\)
D. \(1960{\rm{m}}.\)
Câu 21. Cho hàm số \(y = {x^3} - 3{x^2} + 2.\) Viết phương trình tiếp tuyến của đồ thị hàm số tại giao điểm với đường thẳng \(y = - 2.\)
A.\(y = - 9x + 7;{\rm{ }}y = - 2.\)
B. \(y = - 2.\)
C. \(y = 9x + 7;{\rm{ }}y = - 2.\)
D. \(y = 9x + 7;{\rm{ }}y = 2.\)
Câu 22. Tính đạo hàm của hàm số \(y = {\left( {{x^3} - 2{x^2}} \right)^2}^{016}\).
A.\(y' = 2016{\left( {{x^3} - 2{x^2}} \right)^2}^{015}.\)
B. \(y' = 2016\,{\left( {{x^3} - 2{x^2}} \right)^{2015}}\left( {3{x^2} - 4x} \right).\)
C. \(y' = 2016\left( {{x^3} - 2{x^2}} \right)\left( {3{x^2} - 4x} \right).\)
D. \(y' = 2016\left( {{x^3} - 2{x^2}} \right)\left( {3{x^2} - 2x} \right).\)
Câu 23. Tính đạo hàm của hàm số \(y = \frac{{{x^2} + 2x - 3}}{{x + 2}}.\)
A.\(y' = 1 + \frac{3}{{{{\left( {x + 2} \right)}^2}}}.\)
B. \(y' = \frac{{{x^2} + 6x + 7}}{{{{\left( {x + 2} \right)}^2}}}.\)
C. \(y' = \frac{{{x^2} + 4x + 5}}{{{{\left( {x + 2} \right)}^2}}}.\)
D. \(y' = \frac{{{x^2} + 8x + 1}}{{{{\left( {x + 2} \right)}^2}}}.\)
Câu 24. Tính đạo hàm của hàm số \(f\left( x \right) = \frac{x}{{\sqrt {4 - {x^2}} }}\) tại điểm \(x = 0.\)
A.\(f'\left( 0 \right) = \frac{1}{2}.\)
B. \(f'\left( 0 \right) = \frac{1}{3}.\)
C. \(f'\left( 0 \right) = 1.\)
D. \(f'\left( 0 \right) = 2.\)
Câu 25. Tính đạo hàm của hàm số \(y = {\cos ^3}\left( {2x - 1} \right)\).
A.\(y' = - 3\sin \left( {4x - 2} \right)\cos \left( {2x - 1} \right).\)
B. \(y' = 3{\cos ^2}\left( {2x - 1} \right)\sin \left( {2x - 1} \right).\)
C. \(y' = - 3{\cos ^2}\left( {2x - 1} \right)\sin \left( {2x - 1} \right).\)
D. \(y' = 6{\cos ^2}\left( {2x - 1} \right)\sin \left( {2x - 1} \right).\)
4. Quan hệ vuông góc trong không gian
Câu 26. Trong các mệnh đề sau, mệnh đề nào đúng?
A. Góc giữa hai đường thẳng \(a\) và \(b\) bằng góc giữa hai đường thẳng \(a\) và \(c\) khi \(b\) song song với \(c\) (hoặc \(b\) trùng với\(c\)).
B. Góc giữa hai đường thẳng \(a\) và \(b\) bằng góc giữa hai đường thẳng \(a\) và \(c\) thì \(b\) song song với \(c\).
C. Góc giữa hai đường thẳng là góc nhọn.
D. Góc giữa hai đường thẳng bằng góc giữa hai véctơ chỉ phương của hai đường thẳng đó.
Câu 27. Trong các mệnh đề sau, mệnh đề nào đúng?
A. Hai đường thẳng cùng vuông góc với một đường thẳng thì song song với nhau.
B. Một đường thẳng vuông góc với một trong hai đường thẳng vuông góc với nhau thì song song với đường thẳng còn lại.
C. Hai đường thẳng cùng vuông góc với một đường thẳng thì vuông góc với nhau.
D. Một đường thẳng vuông góc với một trong hai đường thẳng song song thì vuông góc với đường thẳng kia.
Câu 28. Cho hình lập phương \(ABCD.A'B'C'D'\). Góc giữa \(AC\) và \(DA'\) là:
A. \({45^0}.\)
B. \({90^0}.\)
C. \({60^0}.\)
D. \({120^0}.\)
Câu 29. Cho tứ diện đều \(ABCD.\) Số đo góc giữa hai đường thẳng \(AB\) và \(CD\) bằng
A. \({60^0}.\)
B. \({30^0}.\)
C. \({90^0}.\)
D. \({45^0}.\)
Câu 30. Cho hai đường thẳng \(a,{\rm{ }}b\) và mặt phẳng \(\left( P \right)\). Chỉ ra mệnh đề đúng trong các mệnh đề sau:
A.Nếu \(a \bot \left( P \right)\) và \(b \bot a\) thì \(b\parallel \left( P \right)\).
B. Nếu \(a\parallel \left( P \right)\) và \(b \bot \left( P \right)\) thì \(a \bot b\).
C. Nếu \(a\parallel \left( P \right)\) và \(b \bot a\) thì \(b\parallel \left( P \right)\).
D. Nếu \(a\parallel \left( P \right)\) và \(b \bot a\) thì \(b \bot \left( P \right)\).
Câu 31. Cho hình chóp \(S.ABCD\) có đáy \(ABCD\) là hình chữ nhật tâm \(O.\) Đường thẳng \(SA\) cuông góc với mặt đáy \(\left( {ABCD} \right)\). Gọi \(I\) là trung điểm của \(SC.\) Khẳng định nào dưới đây là sai?
A.\(IO \bot \left( {ABCD} \right).\)
B. \(BC \bot SB.\)
C. Tam giác \(SCD\) vuông ở \(D.\)
D. \(\left( {SAC} \right)\) là mặt phẳng trung trực của \(BD.\)
Câu 32. Cho hình chóp \(S.ABC\) có đá là tam giác đều cạnh và độ dài các cạnh bên Gọi là trọng tâm của tam giác Độ dài đoạn thẳng bằng
A.\(\frac{\sqrt{9{{b}^{2}}+3{{a}^{2}}}}{3}.\)
B. \(\frac{\sqrt{{{b}^{2}}-3{{a}^{2}}}}{3}.\)
C. \(\frac{\sqrt{9{{b}^{2}}-3{{a}^{2}}}}{3}.\)
D. \(\frac{\sqrt{{{b}^{2}}+3{{a}^{2}}}}{3}.\)
Câu 33. Cho hình vuông tâm cạnh bằng Trên đường thẳng qua và vuông góc với mặt phẳng lấy điểm Biết góc giữa đường thẳng và mặt phẳng bằng Độ dài cạnh bằng
A.\(SO = a\sqrt 3 .\)
B. \(SO = a\sqrt 2 .\)
C. \(SO = \frac{{a\sqrt 3 }}{2}.\)
D. \(SO = \frac{{a\sqrt 2 }}{2}.\)
Câu 34. Cho hình chóp có đáy là hình chữ nhật có cạnh , . Hai mặt bên và cùng vuông góc với mặt phẳng đáy , cạnh .Tính góc tạo bởi đường thẳng và mặt phẳng .
A.\({30^0}\)
B. \({45^0}\)
C. \({60^0}\)
D. \({90^0}\)
Câu 35. Cho hình chóp có đáy là tam giác vuông tại , , tam giác là tam giác đều có bằng cạnh và nằm trong mặt phẳng vuông với đáy. Gọi là góc giữa hai mặt phẳng và . Mệnh đề nào sau đây đúng?
A.\(\varphi = {60^0}.\)
B. \(\tan \varphi = 2\sqrt 3 .\)
C. \(\tan \varphi = \frac{{\sqrt 3 }}{6}.\)
D. \(\tan \varphi = \frac{1}{2}.\)
Câu 36. Cho hình chóp có đáy là tam giác đều cạnh . Cạnh bên và vuông góc với mặt đáy . Tính khoảng cách từ đến mặt phẳng .
A.\(d = \frac{{a\sqrt {15} }}{5}.\)
B. \(d = a.\)
C. \(d = \frac{{a\sqrt 5 }}{5}.\)
D. \(d = \frac{{a\sqrt 3 }}{2}.\)
Câu 37. Cho hình chóp có đáy là hình vuông cạnh , tâm . Cạnh bên và vuông góc với mặt đáy . Gọi và lần lượt là trung điểm của cạnh và . Tính khoảng cách giữa hai đường thẳng và .
A.\(\frac{a}{3}.\)
B. \(\frac{{2a}}{3}.\)
C. \(2a.\)
D. \(\frac{a}{2}.\)
Câu 38. Cho hình hộp chữ nhật ABCD.A'B'C'D' đáy là hình chữ nhật có AB = 2a, AD = 6a. Gọi M là trung điểm của AD, biết khoảng cách từ C đến mặt phẳng (A'BM) bằng . Thể tích khối hộp ABCD.A'B'C'D' là
A.\(24{a^3}\)
B. \(12{a^3}\)
C. \(3{a^3}\)
D. \(8{a^3}\)
II. Phần tự luận
1. Một số yếu tố thống kê và xác suất
Câu 1. Tiền thưởng (đơn vị: triệu đồng) cho 43 cán bộ và nhân viên trong công ty X được thống kê lại như sau:

So sánh giá trị của các tứ phân vị Q1, Q2, Q3.
Câu 2. Tốc độ phát triển của một loại virus trong 10 ngày với các điều kiện khác nhau (đơn vị: nghìn con) được thống kê lại như sau:

Trong trường hợp này, ta nên chọn số nào dưới đây làm giá trị đại diện là tốt nhất? Tính giá trị đại diện đó.
Câu 3. Bảng thống kê năng suất trong một ngày sản xuất của một công ty cho bởi bảng số liệu sau đây:

Công xưởng B và D mất số liệu về số công nhân mỗi công xưởng. Biết rằng tổng số công nhân của 2 xưởng đó là 80 và năng suất trung bình của công ty trong một ngày là 25 sản phẩm/người. Tìm x, y.
Câu 4. Trong kì thi thử THPT Quốc Gia, An làm để thi trắc nghiệm môn Toán. Đề thi gồm 50 câu hỏi, mỗi câu có 4 phương án trả lời, trong đó chỉ có một phương án đúng; trả lời đúng mỗi câu được 0,2 điểm. An trả lời hết các câu hỏi và chắc chắn đúng 45 câu, 5 câu còn lại An chọn ngẫu nhiên. Tính xác suất để điểm thi môn Toán của An không dưới 9, 5 điểm.
Câu 5. Có 3 chiếc hộp \(A,B,C\). Hộp \(A\) chứa 4 bi đỏ, 3 bi trắng. Hộp \(B\) chứa 3 bi đỏ, 2 bi vàng. Hộp \(C\) chứa 2 bi đỏ, 2 bi vàng. Lấy ngẫu nhiên một hộp từ 3 hộp này, rồi lấy ngẫu nhiên một bi từ hộp đó. Tính xác suất để lấy được một bi đỏ.
Câu 6. Hai người ngang tài ngang sức tranh chức vô địch của một cuộc thi cờ tướng. Người giành chiến thắng là người đầu tiên thắng được năm ván cờ. Tại thời điểm người chơi thứ nhất đã thắng 4 ván và người chơi thứ hai mới thắng 2 ván, tính xác suất để người chơi thứ nhất giành chiến thắng.
Câu 7. Trong trận đấu bóng đá giữa 2 đội Real madrid và Barcelona, trọng tài cho đội Barcelona được hưởng một quả Penalty. Cầu thủ sút phạt ngẫu nhiên vào 1 trong bốn vị trí \(1,2,3,4\) và thủ môn bay người cản phá ngẫu nhiên đến 1 trong 4 vị trí 1, 2, 3, 4 với xác suất như nhau (thủ môn và cầu thủ sút phạt đều không đoán được ý định của đối phương). Biết nếu cầu thủ sút và thủ môn bay cùng vào vị trí 1 (hoặc 2 ) thì thủ môn cản phá được cú sút đó, nếu cùng vào vị trí 3 (hoặc 4 ) thì xác suất cản phá thành công là 50%. Tính xác suất của biến cố “cú sút đó không vào lưới”?

Câu 8. Tung một đồng xu không đồng chất 2020 lần. Biết rằng xác suất xuất hiện mặt sấp là 0,6. Tính xác suất để mặt sấp xuất hiện đúng 1010 lần
2. Hàm số mũ và hàm số logarit
Câu 9. Tìm tập xác định \({\rm{D}}\) của hàm số \(y = {\log _2}\frac{{x - 1}}{x}.\)
Câu 10. Tìm tất cả các giá trị thực của tham số \(m\) để hàm số \(y = \log \left( {{x^2} - 2x - m + 1} \right)\) có tập xác định là \(\mathbb{R}\).
Câu 11. Tìm tất cả các giá trị của tham số \(a\) để hàm số \(y = {\left( {{a^2} - 3a + 3} \right)^x}\) đồng biến
Câu 12. Cho \(a,{\rm{ }}b\) là các số thực thỏa mãn \({a^2} + {b^2} > 1\) và \({\log _{{a^2} + {b^2}}}a + b \ge 1.\) Tìm giá trị lớn nhất \({P_{\max }}\) của biểu thức \(P = 2a + 4b - 3.\)
Câu 13. Trong mặt phẳng với hệ tọa độ \(Oxy\), cho hình vuông \(ABCD\) có diện tích bằng \(36,\) đường thẳng chứa cạnh \(AB\) song song với trục \(Ox,\) các đỉnh \(A,{\rm{ }}B\) và \(C\) lần lượt nằm trên đồ thị của các hàm số \(y = {\log _a}x,{\rm{ }}y = {\log _{\sqrt a }}x\) và \(y = {\log _{\sqrt[3]{a}}}x\) với \(a\) là số thực lớn hơn \(1\). Tìm \(a\).
Câu 14. Phương trình \({4^{{x^2} + x}} + {2^{1 - {x^2}}} = {2^{{{\left( {x + 1} \right)}^2}}} + 1\) có tất cả bao nhiêu nghiệm?
Câu 15. Biết rằng phương trình \(2{\log _2}x + {\log _{\frac{1}{2}}}\left( {1 - \sqrt x } \right) = \frac{1}{2}{\log _{\sqrt 2 }}\left( {x - 2\sqrt x + 2} \right)\) có nghiệm duy nhất có dạng \(a + b\sqrt 3 \) với \(a,{\rm{ }}b \in \mathbb{Z}\). Tính tổng \(S = a + b.\)
Câu 16. Gọi \(a,{\rm{ }}b\) lần lượt là nghiệm nhỏ nhất và nghiệm lớn nhất của bất phương trình \({3.9^x} - {10.3^x} + 3 \le 0\). Tính \(P = b - a.\)
Câu 17. Giải bất phương trình sau : \({\log _{\frac{1}{5}}}\left( {{x^2} - 1} \right) < {\log _{\frac{1}{5}}}\left( {3x - 3} \right).\)
Câu 18. Tìm m để phương trình :
a) \({4^x} - m{.2^{x + 1}} + 2m = 0\) có hai nghiệm thực \({x_1},{\rm{ }}{x_2}\) thỏa mãn \({x_1} + {x_2} = 2.\)
b) \({2017^{2x - 1}} - 2m{.2017^x} + m = 0\) có hai nghiệm thực \({x_1},{\rm{ }}{x_2}\) thỏa mãn \({x_1} + {x_2} = 1.\)
3. Đạo hàm
Câu 19. Cho hàm số \(f\left( x \right)\) xác định trên \(\mathbb{R}\backslash \left\{ 2 \right\}\) bởi \(f\left( x \right) = \left\{ {\begin{array}{*{20}{l}}{\frac{{{x^3} - 4{x^2} + 3x}}{{{x^2} - 3x + 2}}}&{{\rm{khi}}\;\;x \ne 1}\\0&{{\rm{khi}}\;\;x = 1}\end{array}} \right..\) Tính \(f'\left( 1 \right).\)
Câu 20. Tính đạo hàm của hàm số \(y = \frac{{2x + 5}}{{{x^2} + 3x + 3}}.\)
Câu 21. Cho hàm số \(f\left( x \right) = k.\sqrt[3]{x} + \sqrt x \). Với giá trị nào của \(k\) thì \(f'\left( 1 \right) = \frac{3}{2}\)?
Câu 22. Tính đạo hàm của hàm số \(y = \cos \left( {\tan x} \right)\).
Câu 23. Cho hàm số \(y = x.\cos x\). Tính giá trị biểu thức \(M = xy + xy'' - 2\left( {y' - \cos x} \right).\)
4. Quan hệ vuông góc trong không gian
Câu 24. Cho hình chóp \(S.ABCD\) có tất cả các cạnh đều bằng \(\;a\). Gọi \(I\) và \(J\) lần lượt là trung điểm của \(SC\) và \(BC\). Tính số đo của góc \(\left( {IJ,\;CD} \right)\) ?
Câu 25. Cho hình chóp \(S.ABC\) có đáy \(ABC\) là tam giác vuông tại \(A\), \(\widehat {ABC} = {60^ \circ }\), tam giác \(SBC\) là tam giác đều có cạnh bằng \(2a\) và nằm trong mặt phẳng vuông với đáy. Tính góc giữa đường thẳng \(SA\) và mặt phẳng đáy \(\left( {ABC} \right)\)
Câu 26. Cho hình chóp \(S.ABCD\) có đáy \(ABCD\) là hình chữ nhật với \(AB = a\), \(BC = 2a\). Tam giác \(SAB\) đều và nằm trong mặt phẳng vuông góc với đáy. Mặt phẳng \(\left( \alpha \right)\) đi qua \(S\) vuông góc với \(AB\). Tính diện tích \(S\) của thiết diện tạo bởi \(\left( \alpha \right)\) với hình chóp đã cho?
Câu 27. Cho hình chóp \(S.ABCD\) có đáy \(ABCD\) là hình vuông cạnh \(a.\) Cạnh bên \(SA = x\) và vuông góc với mặt phẳng \(\left( {ABCD} \right).\) Xác định \(x\) để hai mặt phẳng \(\left( {SBC} \right)\) và \(\left( {SCD} \right)\) tạo với nhau một góc \({60^0}.\)
Câu 28. Cho hình chóp S.ABC có tam giác ABC vuông tại B, \(AB = a\sqrt 2 ,AC = a\sqrt 3 \), cạnh bên SA vuông góc với mặt phẳng đáy và \(SB = a\sqrt 3 \). Tính thể tích khối chóp S.ABC
--------Hết--------
Lời giải chi tiết
I. Trắc nghiệm
Câu 1. A | Câu 2. B | Câu 3. C | Câu 4. A | Câu 5. D | Câu 6.C | Câu 7. B |
Câu 8. A | Câu 9. C | Câu 10. B | Câu 11.B | Câu 12. C | Câu 13. B | Câu 14. D |
Câu 15. C | Câu 16. B | Câu 17. A | Câu 18. B | Câu 19. B | Câu 20. D | Câu 21. C |
Câu 22. B | Câu 23. A | Câu 24. A | Câu 25. A | Câu 26. A | Câu 27. D | Câu 28. C |
Câu 29. C | Câu 30. B | Câu 31. D | Câu 32. C | Câu 33. B | Câu 34. C | Câu 35. B |
Câu 36. A | Câu 37. A | Câu 38. B |
II. Phần tự luận
1. Một số yếu tố thống kê và xác suất
Câu 1. Tiền thưởng (đơn vị: triệu đồng) cho 43 cán bộ và nhân viên trong công ty X được thống kê lại như sau:

So sánh giá trị của các tứ phân vị Q1, Q2, Q3.
Phương pháp
Sử dụng công thức tính Q1, Q2, Q3
Lời giải chi tiết
Vì cỡ mẫu n = 43 = 2.21 + 1 là số lẻ, nên giá trị tứ phân vị thứ hai của mẫu số liệu là số liệu thứ 22.
Do đó giá trị tứ phân vị thứ hai Q2 = 4.
- Tứ phân vị thứ nhất là trung vị của nửa mẫu số liệu bên trái Q2 (không kể Q2).

Ta có cỡ mẫu lúc này n1 = 21 = 2.10 + 1 là số lẻ, nên giá trị tứ phân vị thứ nhất là số liệu thứ 11.
Do đó giá trị tứ phân vị thứ nhất Q1 = 3.
- Tứ phân vị thứ ba là trung vị của nửa mẫu số liệu bên phải Q2 (không kể Q2)

Ta có cỡ mẫu lúc này n2 = 21 = 2.10 + 1 là số lẻ, nên giá trị tứ phân vị thứ ba là số liệu thứ 11 của mẫu số liệu mới này.
Do đó giá trị tứ phân vị thứ ba Q3 = 5.
Vì 3 < 4 < 5 nên ta suy ra Q1 < Q2 < Q3
Câu 2. Tốc độ phát triển của một loại virus trong 10 ngày với các điều kiện khác nhau (đơn vị: nghìn con) được thống kê lại như sau:

Trong trường hợp này, ta nên chọn số nào dưới đây làm giá trị đại diện là tốt nhất? Tính giá trị đại diện đó.
Phương pháp
Sử dụng công thức tính giá trị đại diện
Lời giải chi tiết
Ta nên chọn số trung vị làm đại diện là tốt nhất vì có sự chênh lệch lớn giữa các số liệu trong mẫu. Do đó ta có thể loại đáp án A và B.
Sắp xếp mẫu dữ liệu trên theo thứ tự không giảm, ta được:
20; 20; 20; 30; 60; 100; 150; 270; 440; 980
Vì cỡ mẫu n = 10 = 2.5 nên trung vị của mẫu là trung bình cộng của số liệu thứ 5 và thứ 6.
Do đó Me = (60 + 100) : 2 = 80.
Câu 3. Bảng thống kê năng suất trong một ngày sản xuất của một công ty cho bởi bảng số liệu sau đây:

Công xưởng B và D mất số liệu về số công nhân mỗi công xưởng. Biết rằng tổng số công nhân của 2 xưởng đó là 80 và năng suất trung bình của công ty trong một ngày là 25 sản phẩm/người. Tìm x, y.
Phương pháp
Sử dụng công thức tính giá trị trung bình để tính năng suất trung bình.
Từ đó, lập hệ phương trình tìm x, y
Lời giải chi tiết
Ta có tổng số công nhân của 2 công xưởng B và D là 80 nên ta suy ra x + y = 80 (1).
Ta có năng suất trung bình của công ty trong một ngày là 25 sản phẩm/người.
Nên ta suy ra:
\(\begin{array}{l}\frac{{30.40 + 20x + 40.30 + 15y}}{{30 + x + 40 + y}} = 25\\ \Leftrightarrow \frac{{2400 + 20x + 15y}}{{x + y + 70}} = 25\\ \Leftrightarrow 20x + 15y + 2400 = 25x + 25y + 1750\\ \Leftrightarrow 5x + 10y = 650\,(2)\end{array}\)
Từ (1) và (2) ta có hệ phương trình: \(\left\{ \begin{array}{l}x + y = 80\\5x + 10y = 650\end{array} \right. \Leftrightarrow \left\{ \begin{array}{l}x = 30\\y = 50\end{array} \right.\)
Giải hệ phương trình trên, ta được x = 30 và y = 50.
Câu 4. Trong kì thi thử THPT Quốc Gia, An làm để thi trắc nghiệm môn Toán. Đề thi gồm 50 câu hỏi, mỗi câu có 4 phương án trả lời, trong đó chỉ có một phương án đúng; trả lời đúng mỗi câu được 0,2 điểm. An trả lời hết các câu hỏi và chắc chắn đúng 45 câu, 5 câu còn lại An chọn ngẫu nhiên. Tính xác suất để điểm thi môn Toán của An không dưới 9, 5 điểm.
Phương pháp
Sử dụng quy tắc cộng xác suất
Lời giải chi tiết
Để An đúng được không dưới 9,5 điểm thì bạn ấy phải chọn đúng nhiều hơn 2 trong 5 câu còn lại.
Xác suất mỗi câu chọn đúng là \(\frac{1}{4}\) và không chọn đúng là \(\frac{3}{4}\).
Để An đúng được không dưới 9,5 điểm thì bạn ấy phải chọn đúng hoặc 3 hoặc 4 hoặc 5 trong 5 câu còn lại.
Do đó xác suất cần tìm là \({\left( {\frac{1}{4}} \right)^3}{\left( {\frac{3}{4}} \right)^2} + {\left( {\frac{1}{4}} \right)^4}\left( {\frac{3}{4}} \right) + {\left( {\frac{1}{4}} \right)^5} = \frac{{13}}{{1024}}\)
Câu 5. Có 3 chiếc hộp \(A,B,C\). Hộp \(A\) chứa 4 bi đỏ, 3 bi trắng. Hộp \(B\) chứa 3 bi đỏ, 2 bi vàng. Hộp \(C\) chứa 2 bi đỏ, 2 bi vàng. Lấy ngẫu nhiên một hộp từ 3 hộp này, rồi lấy ngẫu nhiên một bi từ hộp đó. Tính xác suất để lấy được một bi đỏ.
Phương pháp
Sử dụng quy tắc cộng xác suất
Lời giải chi tiết
Xác suất để chọn hộp A là \(\frac{1}{3}\), xác suất để chọn được bi đỏ trong hộp A là \(\frac{4}{7}\)
⇒ Xác suất để chọn được bi đỏ trong hộp A là \(\frac{1}{3}.\frac{4}{7}\)
Tương tự, xác suất để chọn được bi đỏ trong hộp B, hộp C lần lượt là \(\frac{1}{3}.\frac{3}{5} + \frac{1}{3}.\frac{2}{4}\)
Vậy xác suất để lấy được bi đỏ là \(\frac{1}{3}.\frac{4}{7} + \frac{1}{3}.\frac{3}{5} + \frac{1}{3}.\frac{2}{4} = \frac{{39}}{{70}}\)
Câu 6. Hai người ngang tài ngang sức tranh chức vô địch của một cuộc thi cờ tướng. Người giành chiến thắng là người đầu tiên thắng được năm ván cờ. Tại thời điểm người chơi thứ nhất đã thắng 4 ván và người chơi thứ hai mới thắng 2 ván, tính xác suất để người chơi thứ nhất giành chiến thắng.
Phương pháp
Sử dụng quy tắc cộng xác suất
Lời giải chi tiết
Theo giả thiết hai người ngang tài ngang sức nên xác suất thắng thua trong một ván đấu là 0,5; 0,5.
Xét tại thời điểm người chơi thứ nhất đã thắng 4 ván và người chơi thứ hai thắng 2 ván.
Để người thứ nhất chiến thắng thì người thứ nhất cần thắng 1 ván và người thứ hai thắng không quá hai ván.
Có ba khả năng:
TH1: Đánh 1 ván. Người thứ nhất thắng xác suất là 0,5 .
TH2: Đánh 2 ván. Người thứ nhất thắng ở ván thứ hai xác suất là (0,5)2
TH3: Đánh 3 ván. Người thứ nhất thắng ở ván thứ ba xác suất là (0,5)3
Vậy P=0,5+(0,5)2+(0,5)3=78
Câu 7. Trong trận đấu bóng đá giữa 2 đội Real madrid và Barcelona, trọng tài cho đội Barcelona được hưởng một quả Penalty. Cầu thủ sút phạt ngẫu nhiên vào 1 trong bốn vị trí \(1,2,3,4\) và thủ môn bay người cản phá ngẫu nhiên đến 1 trong 4 vị trí 1, 2, 3, 4 với xác suất như nhau (thủ môn và cầu thủ sút phạt đều không đoán được ý định của đối phương). Biết nếu cầu thủ sút và thủ môn bay cùng vào vị trí 1 (hoặc 2 ) thì thủ môn cản phá được cú sút đó, nếu cùng vào vị trí 3 (hoặc 4 ) thì xác suất cản phá thành công là 50%. Tính xác suất của biến cố “cú sút đó không vào lưới”?

Phương pháp
Sử dụng quy tắc cộng xác suất và quy tắc nhân xác suất
Lời giải chi tiết
Gọi Ai là biến cố “cầu thủ sút phạt vào vị trí i ”
Bi là biến cố “thủ môn bay người cản phá vào vị trí thứ i ”
Và C là biến cố “Cú sút phạt không vào lưới”
Dễ thấy \(P({A_i}) = P({B_i}) = \frac{1}{4}\)
Ta có:
\(\begin{array}{l}P(C) = P({A_1}).P({B_1}) + P({A_2}).P({B_2}) + \frac{1}{2}P({A_3}).P({B_3}) + \frac{1}{2}P({A_4}).P({B_4})\\ = {\left( {\frac{1}{4}} \right)^2} + {\left( {\frac{1}{4}} \right)^2} + \frac{1}{2}{\left( {\frac{1}{4}} \right)^2} + \frac{1}{2}{\left( {\frac{1}{4}} \right)^2} = \frac{3}{{16}}\end{array}\)
Câu 8. Tung một đồng xu không đồng chất 2020 lần. Biết rằng xác suất xuất hiện mặt sấp là 0,6. Tính xác suất để mặt sấp xuất hiện đúng 1010 lần
Phương pháp
Sử dụng quy tắc cộng xác suất và quy tắc nhân xác suất
Lời giải chi tiết
Ta có \(C_{2020}^{1010}\) cách chọn 1010 vị trí trong 2020 lần tung đồng xu để mặt xấp xuất hiện, các lần tung còn lại không xuất hiện mặt sấp. Ửng với mỗi cách chọn cố định 1010 vị trí xuất hiện mặt xấp ta có xác suất của trường hợp đó tính như sau:
+) Tại những lần mặt xấp xuất hiện thì xác suất xảy ra là 0,6 .
+) Tại những lần mặt ngửa xuất hiện thì xác suất xảy ra là 1-0,6.
Do có 1010 lần xuất hiện mặt sấp và 1010 xuất hiện mặt ngữa nên ứng với mỗi cách chọn cố định 1010 vị trí xuất hiện mặt xấp thì có xác xuất là \(0,{6^{1010}}.{(1 - 0,6)^{1010}} = 0,{24^{1010}}\)
Vậy xác suất cần tính là \(C_{2020}^{1010}.0,{24^{1010}}\)
2. Hàm số mũ và hàm số logarit
Câu 9. Tìm tập xác định \({\rm{D}}\) của hàm số \(y = {\log _2}\frac{{x - 1}}{x}.\)
Phương pháp
Tập xác định của hàm số \(y = {\log _a}f(x)\,\,(0 < a \ne 1)\)là
Lời giải chi tiết
Hàm số xác định \( \Leftrightarrow \frac{{x - 1}}{x} > 0 \Leftrightarrow \left[ \begin{array}{l}x > 1\\x < 0\end{array} \right.\)
Vậy tập xác định của hàm số là \(\left( { - \infty ;0} \right) \cup \left( {1; + \infty } \right)\).
Đáp án \(D = \left( { - \infty ;0} \right) \cup \left( {1; + \infty } \right)\)
Câu 10. Tìm tất cả các giá trị thực của tham số \(m\) để hàm số \(y = \log \left( {{x^2} - 2x - m + 1} \right)\) có tập xác định là \(\mathbb{R}\).
Phương pháp
Hàm số \(y = a{x^2} + bx + c\,(a \ne 0) > 0\forall x \in R \Leftrightarrow \left\{ \begin{array}{l}a > 0\\\Delta < 0\end{array} \right.\)
Lời giải chi tiết
Ycbt \( \Leftrightarrow {x^2} - 2x - m + 1 > 0,{\rm{ }}\forall x \in \mathbb{R} \Leftrightarrow \left\{ \begin{array}{l}a > 0\\\Delta ' = 1 + m - 1 < 0\end{array} \right.\)
\(\Leftrightarrow m < 0\)
Câu 11. Tìm tất cả các giá trị của tham số \(a\) để hàm số \(y = {\left( {{a^2} - 3a + 3} \right)^x}\) đồng biến
Phương pháp
Hàm số \(y = {a^x}\) đồng biến khi \(a > 1\), nghịch biến khi \(0 < a < 1\)
Lời giải chi tiết
Hàm số đồng biến khi
\({a^2} - 3a + 3 > 1 \Leftrightarrow {a^2} - 3a + 2 > 0 \Leftrightarrow \left[ \begin{array}{l}a < 1\\a > 2\end{array} \right..\)
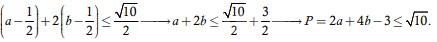
Câu 12. Cho \(a,{\rm{ }}b\) là các số thực thỏa mãn \({a^2} + {b^2} > 1\) và \({\log _{{a^2} + {b^2}}}a + b \ge 1.\) Tìm giá trị lớn nhất \({P_{\max }}\) của biểu thức \(P = 2a + 4b - 3.\)
Phương pháp
Sử dụng bất đẳng thức Bunhiacopxky
Lời giải chi tiết
Do \({a^2} + {b^2} > 1\) nên \({\log _{{a^2} + {b^2}}}\left( {a + b} \right) \ge 1 \Leftrightarrow a + b \ge {a^2} + {b^2} \Leftrightarrow {\left( {a - \frac{1}{2}} \right)^2} + {\left( {b - \frac{1}{2}} \right)^2} \le \frac{1}{2}\) \(\left( 1 \right)\)
Ta có \(a + 2b = \left[ {\left( {a - \frac{1}{2}} \right) + 2\left( {b - \frac{1}{2}} \right)} \right] + \frac{3}{2}.\) Áp dụng bất đẳng thức Bunhiacopxky ta có
\({\left[ {\left( {a - \frac{1}{2}} \right) + 2\left( {b - \frac{1}{2}} \right)} \right]^2} \le \left( {{1^2} + {2^2}} \right)\left[ {{{\left( {a - \frac{1}{2}} \right)}^2} + {{\left( {b - \frac{1}{2}} \right)}^2}} \right] \le 5.\frac{1}{2} = \frac{5}{2}.\)
Do đó:

Dấu ''='' xảy ra \( \Leftrightarrow a = \frac{{5 + \sqrt {10} }}{{10}};{\rm{ }}b = \frac{{5 + 2\sqrt {10} }}{{10}}.\)
Câu 13. Trong mặt phẳng với hệ tọa độ \(Oxy\), cho hình vuông \(ABCD\) có diện tích bằng \(36,\) đường thẳng chứa cạnh \(AB\) song song với trục \(Ox,\) các đỉnh \(A,{\rm{ }}B\) và \(C\) lần lượt nằm trên đồ thị của các hàm số \(y = {\log _a}x,{\rm{ }}y = {\log _{\sqrt a }}x\) và \(y = {\log _{\sqrt[3]{a}}}x\) với \(a\) là số thực lớn hơn \(1\). Tìm \(a\).
Phương pháp
Lập phương trình diện tích ABCD để tìm m
Lời giải chi tiết
Do $AB\parallel Ox\xrightarrow{{}}$ \(A,{\rm{ }}B\) nằm trên đường thẳng \(y = m{\rm{ }}\left( {m \ne 0} \right).\)
Lại có \(A,{\rm{ }}B\) lần lượt nằm trên đồ thị của các hàm số \(y = {\log _a}x,{\rm{ }}y = {\log _{\sqrt a }}x\).
Từ đó suy ra \(A\left( {{a^m};m} \right)\), \(B\left( {{a^{\frac{m}{2}}};m} \right)\).
Vì \(ABCD\) là hình vuông nên suy ra \({x_C} = {x_B} = {a^{\frac{m}{2}}}\).
Lại có \(C\) nằm trên đồ thị hàm số \(y = {\log _{\sqrt[3]{a}}}x\), suy ra \(C\left( {{a^{\frac{m}{2}}};\frac{{3m}}{2}} \right).\)
Theo đề bài:

hoặc \(\left\{ \begin{array}{l}m = 12\\a = \sqrt[6]{3}\end{array} \right..\)
Câu 14. Phương trình \({4^{{x^2} + x}} + {2^{1 - {x^2}}} = {2^{{{\left( {x + 1} \right)}^2}}} + 1\) có tất cả bao nhiêu nghiệm?
Phương pháp
Đưa về cùng cơ số và đặt ẩn phụ
Lời giải chi tiết
Phương trình \( \Leftrightarrow {2^{2{x^2} + 2x}} + {2^{1 - {x^2}}} = {2^{{x^2} + 2x + 1}} + 1\).
Đặt \(\left\{ \begin{array}{l}a = {2^{2{x^2} + 2x}} > 0\\b = {2^{1 - {x^2}}} > 0\end{array} \right.\), suy ra \({2^{{x^2} + 2x + 1}} = ab\). Khi đó phương trình trở thành \(a + b = ab + 1\)
\( \Leftrightarrow a - ab + b - 1 = 0 \Leftrightarrow a\left( {1 - b} \right) + \left( {b - 1} \right) = 0 \Leftrightarrow \left( {1 - b} \right)\left( {a - 1} \right) = 0 \Leftrightarrow \left[ \begin{array}{l}a = 1\\b = 1\end{array} \right.\)
Với \(a = 1\), ta được \({2^{2{x^2} + 2x}} = 1 \Leftrightarrow 2{x^2} + 2x = 0 \Leftrightarrow \left[ \begin{array}{l}x = 0\\x = - 1\end{array} \right.\)
Với \(b = 1\), ta được \({2^{1 - {x^2}}} = 1 \Leftrightarrow 1 - {x^2} = 0 \Leftrightarrow x = \pm 1\)
Vậy phương trình đã cho có ba nghiệm\(x = 0\), \(x = \pm 1\)
Câu 15. Biết rằng phương trình
\(2{\log _2}x + {\log _{\frac{1}{2}}}\left( {1 - \sqrt x } \right) = \frac{1}{2}{\log _{\sqrt 2 }}\left( {x - 2\sqrt x + 2} \right)\) có nghiệm duy nhất có dạng \(a + b\sqrt 3 \) với \(a,{\rm{ }}b \in \mathbb{Z}\). Tính tổng \(S = a + b.\)
Phương pháp
Đưa về cùng cơ số
Lời giải chi tiết
Điều kiện: \(0 < x < 1\).
Phương trình \( \Leftrightarrow {\log _2}{x^2} - {\log _2}\left( {1 - \sqrt x } \right) = {\log _2}\left( {x - 2\sqrt x + 2} \right)\)
\( \Leftrightarrow {\log _2}\frac{{{x^2}}}{{1 - \sqrt x }} = {\log _2}\left( {x - 2\sqrt x + 2} \right) \Leftrightarrow \frac{{{x^2}}}{{1 - \sqrt x }} = x - 2\sqrt x + 2\)
\( \Leftrightarrow \frac{{{x^2}}}{{1 - \sqrt x }} = x + 2\left( {1 - \sqrt x } \right) \Leftrightarrow \frac{{{x^2}}}{{{{\left( {1 - \sqrt x } \right)}^2}}} = \frac{x}{{1 - \sqrt x }} + 2 \Leftrightarrow {\left( {\frac{x}{{1 - \sqrt x }}} \right)^2} - \left( {\frac{x}{{1 - \sqrt x }}} \right) - 2 = 0\)
\( \Leftrightarrow \frac{x}{{1 - \sqrt x }} = - 1\) (vô nghiệm) hoặc \(\frac{x}{{1 - \sqrt x }} = 2\)

Vậy \(S = a + b = 2\)
Câu 16. Gọi \(a,{\rm{ }}b\) lần lượt là nghiệm nhỏ nhất và nghiệm lớn nhất của bất phương trình \({3.9^x} - {10.3^x} + 3 \le 0\). Tính \(P = b - a.\)
Phương pháp
Đưa về cùng cơ số và đặt ẩn phụ, đưa về bất phương trình bậc hai ẩn t
Lời giải chi tiết
Bất phương trình tương đương với \({3.3^{2x}} - {10.3^x} + 3 \le 0\).
Đặt \(t = {3^x}\), \(t > 0\). Bất phương trình trở thành \(3{t^2} - 10t + 3 \le 0 \Leftrightarrow \frac{1}{3} \le t \le 3\).

Câu 17. Giải bất phương trình sau : \({\log _{\frac{1}{5}}}\left( {{x^2} - 1} \right) < {\log _{\frac{1}{5}}}\left( {3x - 3} \right).\)
Phương pháp
Nếu 0 < a < 1 thì \({\log _a}f(x) < {\log _a}g(x) \Leftrightarrow f(x) > g(x)\)
Lời giải chi tiết
Điều kiện: \(\left\{ \begin{array}{l}{x^2} - 1 > 0\\3x - 3 > 0\end{array} \right. \Leftrightarrow x > 1.\)
Bất phương trình: \({\log _{\frac{1}{5}}}\left( {{x^2} - 1} \right) < {\log _{\frac{1}{5}}}\left( {3x - 3} \right) \Leftrightarrow {x^2} - 1 > 3x - 3\)(chú ý với cơ số \(\frac{1}{5} < 1\))

Câu 18. Tìm m để phương trình :
a) \({4^x} - m{.2^{x + 1}} + 2m = 0\) có hai nghiệm thực \({x_1},{\rm{ }}{x_2}\) thỏa mãn \({x_1} + {x_2} = 2.\)
b) \({2017^{2x - 1}} - 2m{.2017^x} + m = 0\) có hai nghiệm thực \({x_1},{\rm{ }}{x_2}\) thỏa mãn \({x_1} + {x_2} = 1.\)
Phương pháp
Đặt ẩn phụ, đưa bài toán về tìm m để phương trình bậc hai có hai nghiệm dương phân biệt thỏa mãn yêu cầu bài toán
Lời giải chi tiết
a) Phương trình tương đương với \({\left( {{2^x}} \right)^2} - 2m{.2^x} + 2m = 0\).
Đặt \(t = {2^x} > 0\), phương trình trở thành \({t^2} - 2mt + 2m = 0\). \(\left( * \right)\)
Để phương trình đã cho có hai nghiệm \( \Leftrightarrow \) phương trình \(\left( * \right)\) có hai nghiệm dương
\( \Leftrightarrow \left\{ \begin{array}{l}\Delta ' \ge 0\\S > 0\\P > 0\end{array} \right. \Leftrightarrow \left\{ \begin{array}{l}{m^2} - 2m \ge 0\\2m > 0\\2m > 0\end{array} \right. \Leftrightarrow m \ge 2.\)
Theo định lí Viet, ta có:
\({2^{{x_1}}}{.2^{{x_2}}} = 2m \Leftrightarrow {2^{{x_1} + {x_2}}} = 2m \Leftrightarrow 4 = 2m \Leftrightarrow m = 2\) (thỏa mãn).
b)Phương trình \( \Leftrightarrow \frac{1}{{2017}}{\left( {{{2017}^x}} \right)^2} - 2m{.2017^x} + m = 0\)
\( \Leftrightarrow {\left( {{{2017}^x}} \right)^2} - 4034m{.2017^x} + 2017m = 0.\)
Giả sử phương trình có hai nghiệm \({x_1},{\rm{ }}{x_2}\).
Theo Viet, ta có: \({2017^{{x_1}}}{.2017^{{x_2}}} = 2017m \Leftrightarrow {2017^{{x_1} + {x_2}}} = 2017m \Leftrightarrow 2017 = 2017m \Leftrightarrow m = 1.\)
Thử lại với \(m = 1\) ta thấy thỏa mãn
3. Đạo hàm
Câu 19. Cho hàm số \(f\left( x \right)\) xác định trên \(\mathbb{R}\backslash \left\{ 2 \right\}\) bởi \(f\left( x \right) = \left\{ {\begin{array}{*{20}{l}}{\frac{{{x^3} - 4{x^2} + 3x}}{{{x^2} - 3x + 2}}}&{{\rm{khi}}\;\;x \ne 1}\\0&{{\rm{khi}}\;\;x = 1}\end{array}} \right..\) Tính \(f'\left( 1 \right).\)
Phương pháp
Sử dụng công thức tính đạo hàm theo định nghĩa
Lời giải chi tiết
Xét \(\mathop {\lim }\limits_{x \to 1} f\left( x \right) = \mathop {\lim }\limits_{x \to 1} \frac{{{x^3} - 4{x^2} + 3x}}{{{x^2} - 3x + 2}} = \mathop {\lim }\limits_{x \to 1} \frac{{x\left( {x - 1} \right)\left( {x - 3} \right)}}{{\left( {x - 1} \right)\left( {x - 2} \right)}} = \mathop {\lim }\limits_{x \to 1} \frac{{x\left( {x - 3} \right)}}{{x - 2}} = 2.\)
Ta thấy: \(\mathop {\lim }\limits_{x \to 1} f\left( x \right) \ne f\left( 1 \right)\). Do đó, hàm số không tiên tục tại điểm \(x = 1\).
Vậy hàm số không tồn tại đạo hàm tại điểm \(x = 1\).
Câu 20. Tính đạo hàm của hàm số \(y = \frac{{2x + 5}}{{{x^2} + 3x + 3}}.\)
Phương pháp
Sử dụng công thức tính đạo hàm của hàm hợp
Lời giải chi tiết
Ta có \(y' = \frac{{{{\left( {2x + 5} \right)}^\prime }\left( {{x^2} + 3x + 3} \right) - \left( {2x + 5} \right){{\left( {{x^2} + 3x + 3} \right)}^\prime }}}{{{{\left( {{x^2} + 3x + 3} \right)}^2}}}\)
\( = \frac{{2\left( {{x^2} + 3x + 3} \right) - \left( {2x + 5} \right)\left( {2x + 3} \right)}}{{{{\left( {{x^2} + 3x + 3} \right)}^2}}} = \frac{{ - 2{x^2} - 10x - 9}}{{{{\left( {{x^2} + 3x + 3} \right)}^2}}}\).
Câu 21. Cho hàm số \(f\left( x \right) = k.\sqrt[3]{x} + \sqrt x \). Với giá trị nào của \(k\) thì \(f'\left( 1 \right) = \frac{3}{2}\)?
Phương pháp
Sử dụng công thức tính đạo hàm của hàm hợp
Lời giải chi tiết
Ta có \(\left( {\sqrt u } \right)' = \frac{{u'}}{{2\sqrt u }}\) và \(\left( {\sqrt[3]{u}} \right)' = \frac{{u'}}{{3\sqrt[3]{{{u^2}}}}}\).
Do đó $f'\left( x \right)=\frac{k}{3\sqrt[3]{{{x}^{2}}}}+\frac{1}{2\sqrt{x}}\xrightarrow{{}}{f}'(1)=\frac{3}{2}\Leftrightarrow \frac{1}{3}k+\frac{1}{2}=\frac{3}{2}\Leftrightarrow \frac{1}{3}k=1\Leftrightarrow k=3.$
Câu 22. Tính đạo hàm của hàm số \(y = \cos \left( {\tan x} \right)\).
Phương pháp
Sử dụng công thức tính đạo hàm của hàm hợp
Lời giải chi tiết
Ta có \(y' = - {\left( {\tan x} \right)^\prime }\sin \left( {\tan x} \right) = - \frac{1}{{{{\cos }^2}x}}.\sin \left( {\tan x} \right)\)
Câu 23. Cho hàm số \(y = x.\cos x\). Tính giá trị biểu thức \(M = xy + xy'' - 2\left( {y' - \cos x} \right).\)
Phương pháp
Sử dụng công thức tính đạo hàm của hàm hợp
Lời giải chi tiết
Ta có \({y}'=\cos x-x.\sin x\,\,\xrightarrow{{}}\,\,{y}''=-\,2\sin x-x.\cos x.\)
Khi đó \(xy + xy'' = {x^2}\cos x + x\left( { - \,2\sin x - x\cos x} \right) = - \,2x\sin x.\)
Và \(2\left( {y' - \cos x} \right) = 2\left( {\cos x - x\sin x - \cos x} \right) = - \,2x\sin x.\)
Vậy \(xy + xy'' = 2\left( {y' - \cos x} \right) \Rightarrow M = 0.\)
4. Quan hệ vuông góc trong không gian
Câu 24. Cho hình chóp \(S.ABCD\) có tất cả các cạnh đều bằng \(\;a\). Gọi \(I\) và \(J\) lần lượt là trung điểm của \(SC\) và \(BC\). Tính số đo của góc \(\left( {IJ,\;CD} \right)\) ?
Phương pháp
Kẻ đường thẳng cắt IJ và song song với CD
Lời giải chi tiết

Gọi \(O\) là tâm của hình thoi \(ABCD \Rightarrow \)\(OJ\) là đường trung bình của \(\Delta BCD.\)
Suy ra \(\left\{ \begin{array}{l}OJ\,\parallel \,CD\\OJ = \frac{1}{2}CD\end{array} \right.\).
Vì \(CD\,\parallel \,OJ \Rightarrow \left( {IJ,CD} \right) = \left( {IJ,OJ} \right)\).
Xét tam giác \(IOJ\), có \(\left\{ \begin{array}{l}IJ = \frac{1}{2}SB = \frac{a}{2}\\OJ = \frac{1}{2}CD = \frac{a}{2}\\IO = \frac{1}{2}SA = \frac{a}{2}\end{array} \right.\) \( \Rightarrow \Delta IOJ\) đều.
Vậy \(\left( {IJ,CD} \right) = \left( {IJ,OJ} \right) = \widehat {IJO} = 60^\circ \)
Câu 25. Cho hình chóp \(S.ABC\) có đáy \(ABC\) là tam giác vuông tại \(A\), \(\widehat {ABC} = {60^ \circ }\), tam giác \(SBC\) là tam giác đều có cạnh bằng \(2a\) và nằm trong mặt phẳng vuông với đáy. Tính góc giữa đường thẳng \(SA\) và mặt phẳng đáy \(\left( {ABC} \right)\)
Phương pháp
\(\widehat {\left( {SA,\left( {ABC} \right)} \right)} = \widehat {\left( {SA,AH} \right)} = \widehat {SAH}\)
Lời giải chi tiết

Gọi \(H\) là trung điểm của , suy ra \(SH \bot \left( {ABC} \right)\).
Vì \(SH \bot \left( {ABC} \right)\) nên \(HA\) là hình chiếu của \(SA\) trên mặt phẳng \(\left( {ABC} \right)\).
Do đó \(\widehat {\left( {SA,\left( {ABC} \right)} \right)} = \widehat {\left( {SA,AH} \right)} = \widehat {SAH}\).
Tam giác \(SBC\) đều cạnh \(2a\) nên \(SH = a\sqrt 3 .\)
Tam giác \(ABC\) vuông tại \(A\) nên \(AH = \frac{1}{2}BC = a.\)
Tam giác vuông \(SAH\), có \(\tan \widehat {SAH} = \frac{{SH}}{{AH}} = \sqrt 3 \), suy ra \(\widehat {SAH} = {60^0}\).
Câu 26. Cho hình chóp \(S.ABCD\) có đáy \(ABCD\) là hình chữ nhật với \(AB = a\), \(BC = 2a\). Tam giác \(SAB\) đều và nằm trong mặt phẳng vuông góc với đáy. Mặt phẳng \(\left( \alpha \right)\) đi qua \(S\) vuông góc với \(AB\). Tính diện tích \(S\) của thiết diện tạo bởi \(\left( \alpha \right)\) với hình chóp đã cho
Phương pháp
Xác định thiết diện tạo bởi \(\left( \alpha \right)\) với hình chóp
Thiết diện là tam giác vuông
Lời giải chi tiết

Gọi \(H\) là trung điểm \(AB \Rightarrow SH \bot AB.\) Suy ra:
\(SH \subset \left( \alpha \right)\).
\(SH \bot \left( {ABCD} \right)\) (do \(\left( {SAB} \right) \bot \left( {ABCD} \right)\) theo giao tuyến \(AB\)).
Kẻ \(HM \bot AB{\rm{ }}\left( {M \in CD} \right) \Rightarrow HM \subset \left( \alpha \right).\)
Do đó thiết diện là tam giác \(SHM\) vuông tại \(H\).
Ta có \(SH = \frac{{a\sqrt 3 }}{2}\), \(HM = BC = 2a.\)
Vậy \({S_{\Delta SHM}} = \frac{1}{2}.\frac{{a\sqrt 3 }}{2}.2a = \frac{{{a^2}\sqrt 3 }}{2}.\)
Câu 27. Cho hình chóp \(S.ABCD\) có đáy \(ABCD\) là hình vuông cạnh \(a.\) Cạnh bên \(SA = x\) và vuông góc với mặt phẳng \(\left( {ABCD} \right).\) Xác định \(x\) để hai mặt phẳng \(\left( {SBC} \right)\) và \(\left( {SCD} \right)\) tạo với nhau một góc \({60^0}.\)
Phương pháp
Sử dụng phương pháp xác định góc giữa hai mặt phẳng
Lời giải chi tiết

Từ \(A\) kẻ \(AH\) vuông góc với \(SB\,\,\,\left( {H \in SB} \right).\)
Ta có \(\left\{ \begin{array}{l}SA \bot BC\\AB \bot BC\end{array} \right. \Rightarrow BC \bot \left( {SAB} \right) \Rightarrow BC \bot AH\) mà \(AH \bot SB\) suy ra \(AH \bot \left( {SBC} \right).\)
Từ \(A\) kẻ \(AK\) vuông góc với \(SD\,\,\,\left( {K \in SD} \right),\) tương tự, chứng minh được \(SK \bot \left( {SCD} \right).\)
Khi đó \(SC \bot \left( {AHK} \right)\) suy ra
\(\widehat {\left( {SBC} \right);\left( {SCD} \right)} = \widehat {\left( {AH;AK} \right)} = \widehat {HAK} = {60^0}.\)
Lại có \(\Delta SAB = \Delta SAD \Rightarrow AH = AK\) mà \(\widehat {HAK} = {60^0}\) suy ra tam giác \(AHK\) đều.
Tam giác \(SAB\) vuông tại \(S,\) có \(\frac{1}{{A{H^2}}} = \frac{1}{{S{A^2}}} + \frac{1}{{A{B^2}}} \Rightarrow AH = \frac{{xa}}{{\sqrt {{x^2} + {a^2}} }}.\)
Suy ra \(SH = \sqrt {S{A^2} - A{H^2}} = \frac{{{x^2}}}{{\sqrt {{x^2} + {a^2}} }} \Rightarrow \frac{{SH}}{{SB}} = \frac{{{x^2}}}{{{x^2} + {a^2}}}.\)
Vì \(HK\)//\(BD\) suy ra
\(\frac{{SH}}{{SB}} = \frac{{HK}}{{BD}} \Leftrightarrow \frac{{{x^2}}}{{{x^2} + {a^2}}} = \frac{{xa}}{{\sqrt {{x^2} + {a^2}} .a\sqrt 2 }} \Leftrightarrow \frac{x}{{\sqrt {{x^2} + {a^2}} }} = \frac{1}{{\sqrt 2 }} \Rightarrow x = a.\)
Câu 28. Cho hình chóp S.ABC có tam giác ABC vuông tại B, \(AB = a\sqrt 2 ,AC = a\sqrt 3 \), cạnh bên SA vuông góc với mặt phẳng đáy và \(SB = a\sqrt 3 \). Tính thể tích khối chóp S.ABC
Phương pháp
Công thức tính thể tích chóp \(V = \frac{1}{3}h.{S_{ABC}}\)
Lời giải chi tiết

Tam giác ABC vuông tại B nên
\(\begin{array}{l}BC = \sqrt {A{C^2} - A{B^2}} = a\\ \Rightarrow {S_{\Delta ABC}} = \frac{1}{2}AB.BC = \frac{1}{2}a\sqrt 2 .a = \frac{{{a^2}\sqrt 2 }}{2}\end{array}\)
Tam giác SAB vuông tại A có \(SA = \sqrt {S{B^2} - A{B^2}} = a\)
Vậy thể tích khối chóp S.ABC là
\({V_{S.ABC}} = \frac{1}{3}{S_{ABC}}.SA = \frac{1}{3}\frac{{{a^2}\sqrt 2 }}{2}a = \frac{{{a^3}\sqrt 2 }}{6}\)
Đề cương ôn tập học kì 2 Toán 11 - Cánh Diều: Tổng quan và Hướng dẫn Sử dụng
Kỳ thi học kì 2 Toán 11 đang đến gần, việc chuẩn bị kỹ lưỡng là vô cùng quan trọng. Đề cương ôn tập học kì 2 Toán 11 - Cánh Diều do tusach.vn cung cấp là một công cụ hỗ trợ đắc lực, giúp các em học sinh hệ thống lại kiến thức, làm quen với cấu trúc đề thi và nâng cao khả năng giải quyết vấn đề.
Nội dung chính của Đề cương
Đề cương này bao gồm các chủ đề chính sau:
- Phần 1: Giải tích: Hàm số, đạo hàm, ứng dụng đạo hàm để khảo sát hàm số, cực trị, giá trị lớn nhất và nhỏ nhất của hàm số.
- Phần 2: Hình học: Vectơ, các phép toán vectơ, tích vô hướng, ứng dụng của tích vô hướng, đường thẳng và mặt phẳng trong không gian.
- Phần 3: Xác suất và thống kê: Các khái niệm cơ bản về xác suất, biến ngẫu nhiên rời rạc, phân phối nhị thức.
Cấu trúc đề thi tham khảo
Đề cương ôn tập thường bao gồm các dạng bài tập sau:
- Bài tập trắc nghiệm: Kiểm tra kiến thức lý thuyết và khả năng vận dụng nhanh.
- Bài tập tự luận: Yêu cầu học sinh trình bày chi tiết lời giải, thể hiện khả năng phân tích và suy luận logic.
- Bài tập kết hợp: Đòi hỏi học sinh vận dụng kiến thức từ nhiều chủ đề khác nhau để giải quyết vấn đề.
Lợi ích khi sử dụng Đề cương ôn tập
- Hệ thống kiến thức: Giúp học sinh nắm vững các khái niệm, định lý và công thức quan trọng.
- Luyện tập kỹ năng: Cung cấp nhiều bài tập đa dạng, giúp học sinh rèn luyện kỹ năng giải đề.
- Đánh giá năng lực: Giúp học sinh tự đánh giá được trình độ hiện tại và xác định những kiến thức còn yếu để tập trung ôn luyện.
- Chuẩn bị tốt nhất cho kỳ thi: Giúp học sinh tự tin bước vào kỳ thi với sự chuẩn bị kỹ lưỡng.
Hướng dẫn sử dụng hiệu quả
Để đạt hiệu quả cao nhất khi sử dụng Đề cương ôn tập học kì 2 Toán 11 - Cánh Diều, các em học sinh nên:
- Đọc kỹ lý thuyết trong sách giáo khoa và ghi chú những điểm quan trọng.
- Giải các bài tập trong đề cương một cách cẩn thận, tự kiểm tra và đối chiếu với đáp án.
- Tìm kiếm sự giúp đỡ của giáo viên hoặc bạn bè nếu gặp khó khăn.
- Luyện tập thêm các đề thi thử để làm quen với áp lực thời gian và cấu trúc đề thi.
Tải Đề cương ôn tập ngay hôm nay!
Tusach.vn cam kết cung cấp tài liệu ôn tập chất lượng cao, được cập nhật thường xuyên và phù hợp với chương trình học hiện hành. Hãy tải ngay Đề cương ôn tập học kì 2 Toán 11 - Cánh Diều để chuẩn bị tốt nhất cho kỳ thi sắp tới!
Bảng so sánh các dạng bài tập thường gặp
| Dạng bài tập | Mức độ khó | Tỷ lệ xuất hiện |
|---|---|---|
| Tính đạo hàm | Dễ | 20% |
| Khảo sát hàm số | Trung bình | 30% |
| Ứng dụng đạo hàm | Khó | 25% |
| Tích vô hướng | Trung bình | 15% |
| Xác suất | Dễ - Trung bình | 10% |
Chúc các em học sinh ôn tập tốt và đạt kết quả cao trong kỳ thi!