Đề thi giữa kì 1 Toán 11 Kết nối tri thức - Đề số 7
Tổng quan nội dung
Đề thi giữa kì 1 Toán 11 Kết nối tri thức - Đề số 7
Đề thi giữa kì 1 Toán 11 Kết nối tri thức - Đề số 7 là một công cụ ôn tập và đánh giá kiến thức quan trọng dành cho học sinh lớp 11. Đề thi này bao gồm các dạng bài tập đa dạng, bám sát chương trình học và giúp học sinh làm quen với cấu trúc đề thi thực tế.
tusach.vn cung cấp đề thi này kèm theo đáp án chi tiết, giúp học sinh tự đánh giá năng lực và tìm ra những điểm cần cải thiện.
Đề bài
Góc có số đo \(\frac{\pi }{6}\) radian bằng bao nhiêu độ?
- A.
\({30^o}\)
- B.
\({45^o}\)
- C.
\({60^o}\)
- D.
\({90^o}\)
Cho \(\cos \alpha = - \frac{1}{4}\) với \(\pi < \alpha < \frac{{3\pi }}{2}\). Giá trị của \(\sin \alpha \) là?
- A.
\(\sin \alpha = \frac{{\sqrt {15} }}{4}\)
- B.
\(\sin \alpha = - \frac{{\sqrt {15} }}{4}\)
- C.
\(\sin \alpha = \frac{{15}}{{16}}\)
- D.
\(\sin \alpha = - \frac{{15}}{{16}}\)
Giá trị lượng giác \(\cos \left( {\frac{{37\pi }}{{12}}} \right)\) bằng?
- A.
\(\frac{{\sqrt 6 + \sqrt 2 }}{4}\)
- B.
\(\frac{{\sqrt 6 - \sqrt 2 }}{4}\)
- C.
\( - \frac{{\sqrt 6 + \sqrt 2 }}{4}\)
- D.
\( - \frac{{\sqrt 6 - \sqrt 2 }}{4}\)
Hàm số nào sau đây là hàm số chẵn?
- A.
\(y = \left| {\sin x} \right|\)
- B.
\(y = {x^2}.\sin x\)
- C.
\(y = \frac{x}{{\cos x}}\)
- D.
\(y = x + \sin x\)
Nghiệm của phương trình \(\cos x = 0\) là?
- A.
\(x = k2\pi ,k \in \mathbb{Z}\)
- B.
\(x = k\pi ,k \in \mathbb{Z}\)
- C.
\(x = \frac{\pi }{2} + k\pi ,k \in \mathbb{Z}\)
- D.
\(x = \frac{\pi }{2} + k2\pi ,k \in \mathbb{Z}\)
Số hạng thứ 3 của dãy số \(\left\{ {\begin{array}{*{20}{c}}{{u_1} = 1}\\{{u_n} = 2{u_{n - 1}} + 3}\end{array}} \right.\) là?
- A.
5
- B.
8
- C.
28
- D.
13
Dãy số nào sau đây là cấp số cộng?
- A.
1; 4; 8; 10
- B.
2; 3; 5; 8; 9
- C.
0; 2; 4; 6; 8
- D.
1; 3; -5; -7; -9
Cho dãy số có các số hạng đầu là \(0;\frac{1}{2};\frac{2}{3};\frac{3}{4};\frac{4}{5};...\) Số hạng tổng quát của dãy số là:
- A.
\({u_n} = \frac{{n + 1}}{n}\)
- B.
\({u_n} = \frac{n}{{n + 1}}\)
- C.
\({u_n} = \frac{{n - 1}}{n}\)
- D.
\({u_n} = \frac{{{n^2} - n}}{{n + 1}}\)
Bảng thống kê thời gian (phút) giải một bài toán của một lớp có 45 học sinh được ghi lại như sau:

Khoảng biến thiên của mẫu số liệu trên là?
- A.
10
- B.
18
- C.
8
- D.
12
Nhóm số liệu ghép nhóm thường được cho dưới dạng:
- A.
(a; b), trong đó a là đầu mút trái, b là đầu mút phải
- B.
[a; b], trong đó a là đầu mút trái, b là đầu mút phải
- C.
[a; b), trong đó a là đầu mút trái, b là đầu mút phải
- D.
(a; b], trong đó a là đầu mút trái, b là đầu mút phải
Số nghiệm của phương trình \(\sin 2x + \cos x = 0\) trên \([0;2\pi ]\) là
- A.
3
- B.
1
- C.
2
- D.
4
Cho cấp số cộng \(({u_n})\) có \({u_5} = - 10\) và \({u_{15}} = 60\). Tổng 20 số hạng đầu tiên của cấp số cộng là
- A.
560
- B.
480
- C.
570
- D.
475
Cho phương trình lượng giác \(2\sin \left( {x - \frac{\pi }{{12}}} \right) + \sqrt 3 = 0\). Khi đó
a) Phương trình tương đương \(\sin \left( {x - \frac{\pi }{{12}}} \right) = \sin \frac{\pi }{3}\)
b) Phương trình có nghiệm là \(x = \frac{\pi }{4} + k2\pi \); \(x = \frac{{7\pi }}{{12}} + k2\pi \) \((k \in \mathbb{Z})\)
c) Phương trình có nghiệm âm lớn nhất bằng \( - \frac{\pi }{4}\)
d) Số nghiệm của phương trình trong khoảng \(( - \pi ;\pi )\) là hai nghiệm
Cho \(\cos \alpha = - \frac{1}{4}\) và \(\pi < \alpha < \frac{{3\pi }}{2}\). Khi đó
a) \({\sin ^2}\alpha = \frac{{15}}{{16}}\)
b) \(\sin \alpha = \frac{{\sqrt {15} }}{4}\)
c) \(\tan \alpha = \sqrt {15} \)
d) \(\cot \alpha = - \frac{1}{{\sqrt {15} }}\)
Cho dãy số \(({u_n})\) biết \({u_n} = {2^n} + 1\). Khi đó
a) Dãy số \(({u_n})\) là dãy số tăng
b) Dãy số \(({u_n})\) là dãy số bị chặn
c) \({u_6} = 65\)
d) Số hạng thứ n + 2 của dãy số là \({u_{n + 2}} = {2^n}.2\)
Một thư viện thống kê số lượng sách được mượn mỗi ngày trong ba tháng ở bảng sau:

a) Cỡ mẫu của mẫu số liệu là 90.
b) Nhóm chứa mốt của mẫu số liệu là nhóm [35,5; 40,5).
c) Số sách được mượn trung bình mỗi ngày làm tròn đến hàng phần mười là 34,6.
d) Trung vị của mẫu số liệu trên làm tròn đến hàng phần trăm là 34,57.
Hằng ngày mực nước tại một cảng biển lên xuống theo thủy triều. Độ sâu h (m) của mực nước theo thời gian t (giờ) trong một ngày được cho bởi công thức \(h = 11 + 2\sin \left( {\frac{\pi }{{12}}t} \right)\) với \(0 \le t \le 24\). Tính thời điểm mực nước tại cảng cao nhất.
Đáp án:
Phương trình \(2\sin 2x + 4\cos x = 0\) có bao nhiêu nghiệm trong khoảng (0;3000)?
Đáp án:
Công ty cây xanh X trồng 496 cây hoa trong một khu vườn hình tam giác như sau: hàng thứ nhất trồng 1 cây hoa, kể từ hàng thứ hai trở đi số cây hoa trồng mỗi hàng nhiều hơn 1 cây so với hàng liền trước nó. Hỏi công ty cây xanh X trồng được bao nhiêu hàng cây trong khu vườn hình tam giác đó.
Đáp án:
Cho dãy số \(({u_n})\) biết \({u_n} = n + \frac{1}{n}\). Tìm m để dãy số \(({u_n})\) bị chặn dưới bởi m.
Đáp án:
Một thư viện thống kê số lượng sách được mượn mỗi ngày trong ba tháng ở bảng sau:

Tìm mốt của mẫu số liệu ghép nhóm trên.
Đáp án:
Kiểm tra điện lượng của một số viên pin tiểu do một hãng sản xuất thu được kết quả sau:

Tìm tứ phân vị thứ nhất của mẫu số liệu.
Đáp án:
Lời giải và đáp án
Góc có số đo \(\frac{\pi }{6}\) radian bằng bao nhiêu độ?
- A.
\({30^o}\)
- B.
\({45^o}\)
- C.
\({60^o}\)
- D.
\({90^o}\)
Đáp án : A
Áp dụng quan hệ giữa radian và độ: \(1rad = {\left( {\frac{{180}}{\pi }} \right)^o}\), \({1^o} = \frac{\pi }{{180}}rad\).
Ta có: \(\frac{\pi }{6}rad = \frac{\pi }{6}.\frac{{{{180}^o}}}{\pi } = {30^o}\).
Cho \(\cos \alpha = - \frac{1}{4}\) với \(\pi < \alpha < \frac{{3\pi }}{2}\). Giá trị của \(\sin \alpha \) là?
- A.
\(\sin \alpha = \frac{{\sqrt {15} }}{4}\)
- B.
\(\sin \alpha = - \frac{{\sqrt {15} }}{4}\)
- C.
\(\sin \alpha = \frac{{15}}{{16}}\)
- D.
\(\sin \alpha = - \frac{{15}}{{16}}\)
Đáp án : B
Áp dụng công thức \({\sin ^2}\alpha + {\cos ^2}\alpha = 1\) và sử dụng đường tròn lượng giác để xét dấu.
Ta có: \({\sin ^2}\alpha = 1 - {\cos ^2}\alpha = 1 - {\left( {\frac{1}{4}} \right)^2} = \frac{{15}}{{16}}\), suy ra \(\sin \alpha = \pm \frac{{\sqrt {15} }}{4}\).
Vì \(\pi < \alpha < \frac{{3\pi }}{2}\) nên điểm cuối của cung \(\alpha \) thuộc cung phần tư thứ III, do đó \(\sin \alpha < 0\).
Vậy \(\sin \alpha = - \frac{{\sqrt {15} }}{4}\).
Giá trị lượng giác \(\cos \left( {\frac{{37\pi }}{{12}}} \right)\) bằng?
- A.
\(\frac{{\sqrt 6 + \sqrt 2 }}{4}\)
- B.
\(\frac{{\sqrt 6 - \sqrt 2 }}{4}\)
- C.
\( - \frac{{\sqrt 6 + \sqrt 2 }}{4}\)
- D.
\( - \frac{{\sqrt 6 - \sqrt 2 }}{4}\)
Đáp án : C
Sử dụng công thức cộng lượng giác \(\cos (a - b) = \cos a.\cos b + \sin b.\sin a\).
\(\cos \frac{{37\pi }}{{12}} = \cos \left( {3\pi + \frac{\pi }{{12}}} \right) = \cos \left( {\pi + \frac{\pi }{{12}}} \right) = - \cos \frac{\pi }{{12}} = - \cos \left( {\frac{\pi }{3} - \frac{\pi }{4}} \right)\)
\( = - \left( {\cos \frac{\pi }{3}.\cos \frac{\pi }{4} + \sin \frac{\pi }{3}.\sin \frac{\pi }{4}} \right) = - \frac{{\sqrt 6 + \sqrt 2 }}{4}\).
Hàm số nào sau đây là hàm số chẵn?
- A.
\(y = \left| {\sin x} \right|\)
- B.
\(y = {x^2}.\sin x\)
- C.
\(y = \frac{x}{{\cos x}}\)
- D.
\(y = x + \sin x\)
Đáp án : A
Cho hàm số y = f(x) liên tục và xác định trên khoảng (đoạn) K. Với mỗi \(x \in K\) thì \( - x \in K\).
- Nếu f(x) = f(-x) thì hàm số y = f(x) là hàm số chẵn trên tập xác định.
- Nếu f(-x) = -f(x) thì hàm số y = f(x) là hàm số lẻ trên tập xác định.
Xét phương án A, hàm số \(y = \left| {\sin x} \right|\) có tập xác định D = R, suy ra có \(x \in R\) thì \( - x \in R\).
Mặt khác, \(f( - x) = \left| {\sin ( - x)} \right| = \left| { - \sin x} \right| = \sin x = f(x)\).
Vậy hàm số đáp án A là hàm số chẵn.
Nghiệm của phương trình \(\cos x = 0\) là?
- A.
\(x = k2\pi ,k \in \mathbb{Z}\)
- B.
\(x = k\pi ,k \in \mathbb{Z}\)
- C.
\(x = \frac{\pi }{2} + k\pi ,k \in \mathbb{Z}\)
- D.
\(x = \frac{\pi }{2} + k2\pi ,k \in \mathbb{Z}\)
Đáp án : C
Nghiệm của phương trình lượng giác cơ bản.
\(\cos x = 0 \Leftrightarrow x = \frac{\pi }{2} + k\pi ,k \in \mathbb{Z}\).
Số hạng thứ 3 của dãy số \(\left\{ {\begin{array}{*{20}{c}}{{u_1} = 1}\\{{u_n} = 2{u_{n - 1}} + 3}\end{array}} \right.\) là?
- A.
5
- B.
8
- C.
28
- D.
13
Đáp án : D
Tìm lần lượt \({u_2},{u_3}\) bằng cách thay n vào công thức tổng quát.
Ta có:
\({u_2} = 2{u_{2 - 1}} + 3 = 2{u_1} + 3 = 2.1 + 3 = 5\)
\({u_3} = 2{u_{3 - 1}} + 3 = 2{u_2} + 3 = 2.5 + 3 = 13\)
Dãy số nào sau đây là cấp số cộng?
- A.
1; 4; 8; 10
- B.
2; 3; 5; 8; 9
- C.
0; 2; 4; 6; 8
- D.
1; 3; -5; -7; -9
Đáp án : C
Dãy số lập thành một cấp số cộng khi và chỉ khi hai phần tử liên tiếp sai khác nhau một hằng số.
Xét hiệu các phần tử liên tiếp trong các dãy số, chỉ có dãy ở đáp án C phần tử sau hơn phần tử liền trước 2 đơn vị (8 – 6 = 6 – 4 = 4 – 2 = 2 – 0 = 2).
Cho dãy số có các số hạng đầu là \(0;\frac{1}{2};\frac{2}{3};\frac{3}{4};\frac{4}{5};...\) Số hạng tổng quát của dãy số là:
- A.
\({u_n} = \frac{{n + 1}}{n}\)
- B.
\({u_n} = \frac{n}{{n + 1}}\)
- C.
\({u_n} = \frac{{n - 1}}{n}\)
- D.
\({u_n} = \frac{{{n^2} - n}}{{n + 1}}\)
Đáp án : B
Viết các số hạng đầu của từng đáp án để kiểm tra.
Ta có: \(0 = \frac{0}{{0 + 1}}\); \(\frac{1}{2} = \frac{1}{{1 + 1}}\); \(\frac{2}{3} = \frac{1}{{2 + 1}}\); \(\frac{3}{4} = \frac{3}{{3 + 1}}\); \(\frac{4}{5} = \frac{4}{{4 + 1}}\). Vậy
\({u_n} = \frac{n}{{n + 1}}\).
Bảng thống kê thời gian (phút) giải một bài toán của một lớp có 45 học sinh được ghi lại như sau:

Khoảng biến thiên của mẫu số liệu trên là?
- A.
10
- B.
18
- C.
8
- D.
12
Đáp án : A
Khoảng biến thiên bằng hiệu giá trị lớn nhất và giá trị nhỏ nhất của mẫu số liệu.
Giá trị nhỏ nhất của mẫu là 18, giá trị lớn nhất là 8 nên khoảng biến thiên là 18 – 8 = 10.
Nhóm số liệu ghép nhóm thường được cho dưới dạng:
- A.
(a; b), trong đó a là đầu mút trái, b là đầu mút phải
- B.
[a; b], trong đó a là đầu mút trái, b là đầu mút phải
- C.
[a; b), trong đó a là đầu mút trái, b là đầu mút phải
- D.
(a; b], trong đó a là đầu mút trái, b là đầu mút phải
Đáp án : C
Lý thuyết ghép nhóm mẫu số liệu.
Nhóm số liệu ghép nhóm thường được cho dưới dạng [a; b), trong đó a là đầu mút trái, b là đầu mút phải.
Số nghiệm của phương trình \(\sin 2x + \cos x = 0\) trên \([0;2\pi ]\) là
- A.
3
- B.
1
- C.
2
- D.
4
Đáp án : D
Biến đổi phương trình trở thành dạng phương trình tích, đưa về giải phương trình lượng giác cơ bản.
\(\sin 2x + \cos x = 0 \Leftrightarrow 2\sin x.\cos x + \cos x = 0 \Leftrightarrow \cos x.(2\sin x + 1) = 0\)
\( \Leftrightarrow \left[ {\begin{array}{*{20}{c}}{\cos x = 0}\\{2\sin x + 1 = 0}\end{array}} \right. \Leftrightarrow \left[ {\begin{array}{*{20}{c}}{\cos x = 0}\\{\sin x = - \frac{1}{2}}\end{array} \Leftrightarrow \left[ {\begin{array}{*{20}{c}}{x = \frac{\pi }{2} + k\pi }\\{x = - \frac{\pi }{6} + k2\pi }\\{x = \frac{{7\pi }}{6} + k2\pi }\end{array}} \right.} \right.\) với \(k \in \mathbb{Z}\).
Vì \(x \in [0;2\pi ]\) nên chỉ có 4 nghiệm thỏa mãn: \(x = \left\{ {\frac{\pi }{2};\frac{{3\pi }}{2};\frac{{7\pi }}{6};\frac{{11\pi }}{6}} \right\}\).
Cho cấp số cộng \(({u_n})\) có \({u_5} = - 10\) và \({u_{15}} = 60\). Tổng 20 số hạng đầu tiên của cấp số cộng là
- A.
560
- B.
480
- C.
570
- D.
475
Đáp án : C
Tìm số hạng đầu và công sai dựa theo công thức \({u_n} = {u_1} + (n - 1)d\).
Từ đó tìm tổng 20 số hạng đầu tiên \({S_n} = \frac{{({u_1} + {u_n})n}}{2}\).
Ta có: \(\left\{ {\begin{array}{*{20}{c}}{{u_5} = {u_1} + 4d}\\{{u_{15}} = {u_1} + 14d}\end{array}} \right. \Leftrightarrow \left\{ {\begin{array}{*{20}{c}}{ - 10 = {u_1} + 4d}\\{60 = {u_1} + 14d}\end{array}} \right. \Leftrightarrow \left\{ {\begin{array}{*{20}{c}}{{u_1} = - 38}\\{d = 7}\end{array}} \right.\)
Từ đó ta tính được \({u_{20}} = - 38 + (20 - 1)7 = 95\).
Vậy tổng 20 số hạng đầu của cấp số cộng là \({S_{20}} = \frac{{({u_1} + {u_{20}}).20}}{2} = \frac{{( - 38 + 95).20}}{2} = 570\).
Cho phương trình lượng giác \(2\sin \left( {x - \frac{\pi }{{12}}} \right) + \sqrt 3 = 0\). Khi đó
a) Phương trình tương đương \(\sin \left( {x - \frac{\pi }{{12}}} \right) = \sin \frac{\pi }{3}\)
b) Phương trình có nghiệm là \(x = \frac{\pi }{4} + k2\pi \); \(x = \frac{{7\pi }}{{12}} + k2\pi \) \((k \in \mathbb{Z})\)
c) Phương trình có nghiệm âm lớn nhất bằng \( - \frac{\pi }{4}\)
d) Số nghiệm của phương trình trong khoảng \(( - \pi ;\pi )\) là hai nghiệm
a) Phương trình tương đương \(\sin \left( {x - \frac{\pi }{{12}}} \right) = \sin \frac{\pi }{3}\)
b) Phương trình có nghiệm là \(x = \frac{\pi }{4} + k2\pi \); \(x = \frac{{7\pi }}{{12}} + k2\pi \) \((k \in \mathbb{Z})\)
c) Phương trình có nghiệm âm lớn nhất bằng \( - \frac{\pi }{4}\)
d) Số nghiệm của phương trình trong khoảng \(( - \pi ;\pi )\) là hai nghiệm
Giải phương trình lượng giác \(\sin x = a\):
- Nếu \(\left| a \right| > 1\) thì phương trình vô nghiệm.
- Nếu \(\left| a \right| \le 1\) thì chọn cung \(\alpha \) sao cho \(\sin \alpha = a\). Khi đó phương trình trở thành:
\(\sin x = \sin \alpha \Leftrightarrow \left[ {\begin{array}{*{20}{c}}{x = \alpha + k2\pi }\\{x = \pi - \alpha + k2\pi }\end{array}} \right.\) với \(k \in \mathbb{Z}\).
\(2\sin \left( {x - \frac{\pi }{{12}}} \right) + \sqrt 3 = 0 \Leftrightarrow \sin \left( {x - \frac{\pi }{{12}}} \right) = - \frac{{\sqrt 3 }}{2} \Leftrightarrow \sin \left( {x - \frac{\pi }{{12}}} \right) = \sin \left( { - \frac{\pi }{3}} \right)\)
\( \Leftrightarrow \left[ {\begin{array}{*{20}{c}}{x - \frac{\pi }{{12}} = - \frac{\pi }{3} + k2\pi }\\{x - \frac{\pi }{{12}} = \pi + \frac{\pi }{3} + k2\pi }\end{array}} \right. \Leftrightarrow \left[ {\begin{array}{*{20}{c}}{x = - \frac{\pi }{4} + k2\pi }\\{x = \frac{{17\pi }}{{12}} + k2\pi }\end{array}} \right.\)
a)Sai. \(2\sin \left( {x - \frac{\pi }{{12}}} \right) + \sqrt 3 = 0 \Leftrightarrow \sin \left( {x - \frac{\pi }{{12}}} \right) = - \frac{{\sqrt 3 }}{2} \Leftrightarrow \sin \left( {x - \frac{\pi }{{12}}} \right) = \sin \left( { - \frac{\pi }{3}} \right)\)
b) Sai. Phương trình có nghiệm là \(x = - \frac{\pi }{4} + k2\pi \); \(x = \frac{{17\pi }}{{12}} + k2\pi \) \((k \in \mathbb{Z})\).
c) Đúng.
+ Xét họ nghiệm \(x = - \frac{\pi }{4} + k2\pi \):
Nghiệm âm lớn nhất là \(x = - \frac{\pi }{4}\) khi k = 0.
+ Xét họ nghiệm \(x = \frac{{17\pi }}{{12}} + k2\pi \):
Nghiệm âm lớn nhất là \(x = - \frac{{7\pi }}{{12}}\) khi k = -1.
Vì \( - \frac{\pi }{4} > - \frac{{7\pi }}{{12}}\) nên nghiệm âm lớn nhất là \(x = - \frac{\pi }{4}\).
d) Đúng.
+ Xét họ nghiệm \(x = - \frac{\pi }{4} + k2\pi \):
\( - \pi < x < \pi \Leftrightarrow - \pi < - \frac{\pi }{4} + k2\pi < \pi \)
\( \Leftrightarrow - 1 < - \frac{1}{4} + 2k < 1 \Leftrightarrow - \frac{3}{4} < 2k < \frac{5}{4} \Leftrightarrow - \frac{3}{8} < k < \frac{5}{8}\).
Vậy chỉ có k = 0 thỏa mãn. Khi đó \(x = - \frac{\pi }{4}\).
+ Xét họ nghiệm \(x = \frac{{17\pi }}{{12}} + k2\pi \):
\( - \pi < x < \pi \Leftrightarrow - \pi < \frac{{17\pi }}{{12}} + k2\pi < \pi \Leftrightarrow - 1 < \frac{{17}}{{12}} + 2k < 1\)
\( \Leftrightarrow - \frac{{29}}{{12}} < 2k < - \frac{5}{{12}} \Leftrightarrow - \frac{{29}}{{24}} < k < - \frac{5}{{24}}\).
Vậy chỉ có k = -1 thỏa mãn. Khi đó \(x = - \frac{{7\pi }}{{12}}\).
Vậy phương trình có hai nghiệm thuộc khoảng \(( - \pi ;\pi )\) là \(x = - \frac{\pi }{4}\) và \(x = - \frac{{7\pi }}{{12}}\).
Cho \(\cos \alpha = - \frac{1}{4}\) và \(\pi < \alpha < \frac{{3\pi }}{2}\). Khi đó
a) \({\sin ^2}\alpha = \frac{{15}}{{16}}\)
b) \(\sin \alpha = \frac{{\sqrt {15} }}{4}\)
c) \(\tan \alpha = \sqrt {15} \)
d) \(\cot \alpha = - \frac{1}{{\sqrt {15} }}\)
a) \({\sin ^2}\alpha = \frac{{15}}{{16}}\)
b) \(\sin \alpha = \frac{{\sqrt {15} }}{4}\)
c) \(\tan \alpha = \sqrt {15} \)
d) \(\cot \alpha = - \frac{1}{{\sqrt {15} }}\)
a) Áp dụng công thức \({\sin ^2}\alpha + {\cos ^2}\alpha = 1\) và dựa vào góc phần tư của đường tròn lượng giác để xét dấu.
b) Áp dụng công thức \({\sin ^2}\alpha + {\cos ^2}\alpha = 1\) và dựa vào góc phần tư của đường tròn lượng giác để xét dấu.
c) \(\tan \alpha = \frac{{\sin \alpha }}{{\cos \alpha }} = \frac{1}{{\cot \alpha }}\)
d) \(\cot \alpha = \frac{{\cos \alpha }}{{\sin \alpha }} = \frac{1}{{\tan \alpha }}\)
\({\sin ^2}\alpha + {\cos ^2}\alpha = 1 \Rightarrow {\cos ^2}\alpha = 1 - {\sin ^2}\alpha = 1 - {\left( { - \frac{1}{4}} \right)^2} = \frac{{15}}{{16}} \Rightarrow \sin \alpha = \pm \frac{{\sqrt {15} }}{4}\).
Vì \(\pi < \alpha < \frac{{3\pi }}{2}\) nên điểm cuối của cung \(\alpha \) thuộc góc phần tư thứ III nên \(\sin \alpha < 0\). Vậy \(\sin \alpha = - \frac{{\sqrt {15} }}{4}\).
\(\tan \alpha = \frac{{\sin \alpha }}{{\cos \alpha }} = \frac{{ - \frac{1}{4}}}{{ - \frac{{\sqrt {15} }}{4}}} = \sqrt {15} \); \(\cot \alpha = \frac{1}{{\tan \alpha }} = \frac{1}{{\sqrt {15} }}\).
a)Đúng.
b) Sai.
c) Đúng.
d) Sai.
Cho dãy số \(({u_n})\) biết \({u_n} = {2^n} + 1\). Khi đó
a) Dãy số \(({u_n})\) là dãy số tăng
b) Dãy số \(({u_n})\) là dãy số bị chặn
c) \({u_6} = 65\)
d) Số hạng thứ n + 2 của dãy số là \({u_{n + 2}} = {2^n}.2\)
a) Dãy số \(({u_n})\) là dãy số tăng
b) Dãy số \(({u_n})\) là dãy số bị chặn
c) \({u_6} = 65\)
d) Số hạng thứ n + 2 của dãy số là \({u_{n + 2}} = {2^n}.2\)
a) Dãy số \(({u_n})\) là dãy số giảm nếu \({u_n} > {u_{n + 1}}\). Dãy số \(({u_n})\) là dãy số tăng nếu \({u_n} < {u_{n + 1}}\).
b) Dãy số \(({u_n})\) là dãy số bị chặn nếu \(({u_n})\) vừa bị chặn trên vừa bị chặn dưới, tức tồn tại hai số m, M sao cho \(m \le {u_n} \le M\) \(\forall n \in \mathbb{N}*\).
c) Tính \({u_6}\) bằng công thức \({u_n} = {2^n} + 1\).
d) Thay n + 2 vào n trong công thức số hạng tổng quát \({u_n} = {2^n} + 1\).
a) Đúng. \({u_{n + 1}} - {u_n} = {2^{n + 1}} + 1 - ({2^n} + 1) = {2^{n + 1}} - {2^n} = {2^n}(2 - 1) = {2^n} > 0\) với mọi n. Vậy dãy số là dãy tăng.
b) Sai. Dãy không bị chặn trên vì không có giá trị M nào để \({2^n} < M\) với mọi n. Vậy dãy số không bị chặn.
c) Đúng. \({u_6} = {2^6} + 1 = 64 + 1 = 65\).
d) Sai. \({u_{n + 2}} = {2^{n + 2}} + 1 = {4.2^n} + 1\).
Một thư viện thống kê số lượng sách được mượn mỗi ngày trong ba tháng ở bảng sau:

a) Cỡ mẫu của mẫu số liệu là 90.
b) Nhóm chứa mốt của mẫu số liệu là nhóm [35,5; 40,5).
c) Số sách được mượn trung bình mỗi ngày làm tròn đến hàng phần mười là 34,6.
d) Trung vị của mẫu số liệu trên làm tròn đến hàng phần trăm là 34,57.
a) Cỡ mẫu của mẫu số liệu là 90.
b) Nhóm chứa mốt của mẫu số liệu là nhóm [35,5; 40,5).
c) Số sách được mượn trung bình mỗi ngày làm tròn đến hàng phần mười là 34,6.
d) Trung vị của mẫu số liệu trên làm tròn đến hàng phần trăm là 34,57.
a) Cỡ mẫu là tổng tần số trong bảng số liệu.
b) Nhóm chứa mốt là nhóm có tần số lớn nhất.
c)

d) Để tính trung vị của mẫu số liệu ghép nhóm, ta làm như sau:
Bước 1: Xác định nhóm chứa trung vị. Giả sử đó là nhóm thứ p: [ap; ap+1).
Bước 2: Trung vị

trong đó n là cỡ mẫu, mp là tần số nhóm p. Với p = 1, ta quy ước m1 + ….+ mp-1 = 0.
a) Sai. Cỡ mẫu của mẫu số liệu là: n = 3 + 6 + 15 + 27 + 22 + 14 + 5 = 92.
b) Sai. Nhóm chứa mốt là [30,5; 35,5).
c) Đúng. Số sách được mượn trung bình mỗi ngày xấp xỉ bằng:
(18.3 + 23.6 + 28.15 + 33.27 + 38.33 + 43.14 + 48.5) : 92 = 34,6 (quyển sách).
d) Đúng. Gọi \({x_1},{x_2},...,{x_{92}}\) là số lượng sách được mượn mỗi ngày và giả sử dãy này đã được sắp xếp theo thứ tự tăng dần.
Khi đó, trung vị là \(\frac{{{x_{46}} + {x_{47}}}}{2}\). Do hai giá trị \({x_{46}},{x_{47}}\) thuộc nhóm [30,5; 35,5) nên nhóm này chứa trung vị.
Trung vị là \({M_e} = 30,5 + \frac{{\frac{{92}}{2} - (3 + 6 + 15)}}{{27}}.(35,5 - 30,5) = \frac{{1867}}{{54}} \approx 34,57\).
Hằng ngày mực nước tại một cảng biển lên xuống theo thủy triều. Độ sâu h (m) của mực nước theo thời gian t (giờ) trong một ngày được cho bởi công thức \(h = 11 + 2\sin \left( {\frac{\pi }{{12}}t} \right)\) với \(0 \le t \le 24\). Tính thời điểm mực nước tại cảng cao nhất.
Đáp án:
Đáp án:
Tìm t sao cho hàm số \(h = 11 + 2\sin \left( {\frac{\pi }{{12}}t} \right)\) đạt giá trị lớn nhất.
\(h = 11 + 2\sin \left( {\frac{\pi }{{12}}t} \right)\) đạt giá trị lớn nhất khi \(\sin \left( {\frac{\pi }{{12}}t} \right) = 1 \Leftrightarrow \frac{\pi }{{12}}t = \frac{\pi }{2} + k2\pi \Leftrightarrow t = 6 + 24k\) (giờ).
Vì \(0 \le t \le 24\) nên chỉ có giá trị t = 6 thỏa mãn.
Vậy thời điểm mực nước tại cảng cao nhất là lúc 6 giờ.
Phương trình \(2\sin 2x + 4\cos x = 0\) có bao nhiêu nghiệm trong khoảng (0;3000)?
Đáp án:
Đáp án:
Giải phương trình lượng giác bằng cách biến đổi về dạng phương trình tích. Xét họ nghiệm trong khoảng (0;3000) để tìm số giá trị k nguyên thỏa mãn.
Ta có: \(2\sin 2x + 4\cos x = 0 \Rightarrow 4\sin x.\cos x + 4\cos x = 0 \Rightarrow 4\cos x.(\sin x + 1) = 0\)
\( \Leftrightarrow \left[ {\begin{array}{*{20}{c}}{\cos x = 0}\\{\sin x = - 1}\end{array}} \right. \Leftrightarrow \left[ {\begin{array}{*{20}{c}}{x = \frac{\pi }{2} + k\pi }\\{x = \frac{{3\pi }}{2} + k2\pi }\end{array}} \right. \Leftrightarrow x = \frac{\pi }{2} + k\pi \) với \(k \in \mathbb{Z}\).
Xét họ nghiệm \(x = \frac{\pi }{2} + k\pi \), ta có:
\(0 < \frac{\pi }{2} + k\pi < 3000 \Leftrightarrow - \frac{\pi }{2} < k\pi < 3000 - \frac{\pi }{2} \Leftrightarrow - \frac{1}{2} < k < \frac{{3000}}{\pi } - \frac{1}{2} \Leftrightarrow - 0,5 < k < 954,43\).
Mà \(k \in \mathbb{Z}\) nên \(k \in \{ 0;1;2;3;...;954\} \), tức có 955 giá trị k thỏa mãn.
Vậy phương trình có 955 nghiệm thuộc khoảng (0;3000).
Công ty cây xanh X trồng 496 cây hoa trong một khu vườn hình tam giác như sau: hàng thứ nhất trồng 1 cây hoa, kể từ hàng thứ hai trở đi số cây hoa trồng mỗi hàng nhiều hơn 1 cây so với hàng liền trước nó. Hỏi công ty cây xanh X trồng được bao nhiêu hàng cây trong khu vườn hình tam giác đó.
Đáp án:
Đáp án:
Số cây mỗi hàng lập thành một cấp số cộng với tổng n số hạng là 496, số hạng đầu \({u_1} = 1\) công sai d = 1. Tìm n.
Số cây mỗi hàng lập thành một cấp số cộng với tổng n số hạng là 496, số hạng đầu \({u_1} = 1\) công sai d = 1.
Ta có: \(496 = \frac{{2.1 + (n - 1).1}}{2}.n \Leftrightarrow 992 = (2 + n - 1).n = {n^2} + n - 992 = 0\).
Ta tính được n = 31 hoặc n = -32 (loại).
Vậy số hàng cây trồng được là 31 hàng.
Cho dãy số \(({u_n})\) biết \({u_n} = n + \frac{1}{n}\). Tìm m để dãy số \(({u_n})\) bị chặn dưới bởi m.
Đáp án:
Đáp án:
Chứng minh dãy số tăng và bị chặn dưới tại \(m = {u_1}\).
Xét \({u_{n + 1}} - {u_n} = \left( {n + 1 + \frac{1}{{n + 1}}} \right) - \left( {n + \frac{1}{n}} \right) = 1 + \frac{1}{{n + 1}} - \frac{1}{n} = \left( {1 - \frac{1}{n}} \right) + \frac{1}{{n + 1}}\).
Ta có: \(n \ge 1 \Leftrightarrow \frac{1}{n} < 1 \Leftrightarrow 1 - \frac{1}{n} > 0\); \(n \ge 1 \Rightarrow \frac{1}{{n + 1}} > 0\).
Vậy \({u_{n + 1}} - {u_n} > 0\), tức dãy số tăng.
Khi đó, dãy bị chặn dưới bởi \({u_1} = 1 + \frac{1}{1} = 2 = m\).
Một thư viện thống kê số lượng sách được mượn mỗi ngày trong ba tháng ở bảng sau:

Tìm mốt của mẫu số liệu ghép nhóm trên.
Đáp án:
Đáp án:
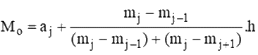
Để tìm mốt của mẫu số liệu ghép nhóm, ta thực hiện theo các bước sau:
Bước 1: Xác định nhóm có tần số lớn nhất (gọi là nhóm chứa mốt), giả sử là nhóm j: [aj; aj+1).
Bước 2: Mốt được xác định là

trong đó mj là tần số của nhóm j (quy ước mo = mk+1 = 0) và h là độ dài của nhóm.
Số liệu ở bảng trên được hiệu chỉnh như sau:

Nhóm chứa mốt của mẫu số liệu là nhóm [30,5; 35,5).
Do đó um = 30,5; nm – 1 = 15, nm + 1 = 22; um + 1 – um = 35,5 – 30,5 = 5.
Mốt của mẫu số liệu ghép nhóm là:

Kiểm tra điện lượng của một số viên pin tiểu do một hãng sản xuất thu được kết quả sau:

Tìm tứ phân vị thứ nhất của mẫu số liệu.
Đáp án:
Đáp án:

Tổng số viên pin là: 10 + 20 + 35 +15 + 5 = 85.
Gọi \({x_1};{x_2};{x_3};...;{x_{85}}\) lần lượt là số viên pin theo thứ tự không giảm.
Tứ phân vị thứ nhất của dãy số liệu là \(\frac{1}{2}\left( {{x_{21}} + {x_{22}}} \right)\) thuộc nhóm [0,95; 1,0) nên tứ phân vị thứ nhất của mẫu số liệu là \({Q_1} = 0,95 + \frac{{\frac{{85}}{4} - 10}}{{20}}\left( {1,0 - 0,95} \right) = 0,98\).
Đề thi giữa kì 1 Toán 11 Kết nối tri thức - Đề số 7: Tổng quan và Hướng dẫn
Chào mừng các em học sinh lớp 11 đến với bài viết phân tích chi tiết về Đề thi giữa kì 1 Toán 11 Kết nối tri thức - Đề số 7. Đây là một trong những đề thi quan trọng giúp các em đánh giá mức độ nắm vững kiến thức đã học trong giai đoạn đầu của năm học. Bài viết này sẽ cung cấp cho các em cái nhìn tổng quan về đề thi, phân tích các dạng bài tập thường gặp, và hướng dẫn giải chi tiết để các em có thể tự tin hơn khi làm bài.
Cấu trúc đề thi giữa kì 1 Toán 11 Kết nối tri thức - Đề số 7
Đề thi giữa kì 1 Toán 11 Kết nối tri thức - Đề số 7 thường bao gồm các phần sau:
- Phần trắc nghiệm: Kiểm tra kiến thức cơ bản, khả năng nhận biết và vận dụng các khái niệm toán học.
- Phần tự luận: Yêu cầu học sinh trình bày lời giải chi tiết, thể hiện khả năng phân tích, suy luận và giải quyết vấn đề.
Các chủ đề thường xuất hiện trong đề thi bao gồm:
- Hàm số lượng giác
- Phương trình lượng giác
- Đạo hàm
- Ứng dụng đạo hàm để khảo sát hàm số
- Hình học giải tích (đường thẳng, đường tròn, elip, hypebol, parabol)
Các dạng bài tập thường gặp
Dưới đây là một số dạng bài tập thường gặp trong Đề thi giữa kì 1 Toán 11 Kết nối tri thức - Đề số 7:
- Bài tập về hàm số lượng giác: Xác định tập xác định, tập giá trị, tính chu kỳ, vẽ đồ thị hàm số lượng giác.
- Bài tập về phương trình lượng giác: Giải các phương trình lượng giác cơ bản và nâng cao.
- Bài tập về đạo hàm: Tính đạo hàm của hàm số, tìm cực trị, khảo sát hàm số.
- Bài tập về ứng dụng đạo hàm: Giải các bài toán tối ưu hóa, tìm giá trị lớn nhất, giá trị nhỏ nhất của hàm số.
- Bài tập về hình học giải tích: Viết phương trình đường thẳng, đường tròn, elip, hypebol, parabol; tìm giao điểm của các đường; tính khoảng cách.
Hướng dẫn giải chi tiết một số bài tập
Để giúp các em hiểu rõ hơn về cách giải các bài tập trong đề thi, chúng ta sẽ cùng nhau giải chi tiết một số bài tập tiêu biểu:
Ví dụ 1: Giải phương trình lượng giác 2sin(x) - 1 = 0
Lời giải:
2sin(x) - 1 = 0 ⇔ sin(x) = 1/2
Phương trình sin(x) = 1/2 có nghiệm là:
x = π/6 + k2π hoặc x = 5π/6 + k2π (k ∈ Z)
Ví dụ 2: Tìm đạo hàm của hàm số y = x3 - 2x2 + 5x - 1
Lời giải:
y' = 3x2 - 4x + 5
Lời khuyên khi làm bài thi
- Đọc kỹ đề bài trước khi làm.
- Phân bổ thời gian hợp lý cho từng phần.
- Trình bày lời giải rõ ràng, mạch lạc.
- Kiểm tra lại bài làm sau khi hoàn thành.
Tải đề thi và đáp án
Các em có thể tải Đề thi giữa kì 1 Toán 11 Kết nối tri thức - Đề số 7 và đáp án chi tiết tại tusach.vn. Chúc các em ôn tập tốt và đạt kết quả cao trong kỳ thi!
Tài liệu tham khảo thêm
Để nâng cao kiến thức và kỹ năng giải toán, các em có thể tham khảo thêm các tài liệu sau:
- Sách giáo khoa Toán 11 Kết nối tri thức
- Sách bài tập Toán 11 Kết nối tri thức
- Các trang web học toán trực tuyến